
上海翼和应用生物技术有限公司是上海市遗传学会理事单位,上海市高新技术企业,至今已有十六年历史,专注于为国内科研工作者和生物医药企业提供各类分子遗传学技术服务和质控试剂盒。十六年来,翼和生物利用自身技术优势,开发了各类分子遗传学检测技术,现已服务了上千客户,在中高通量SNP分型、基因重测序和DNA甲基化分析等方面积累了大量的经验。
PCR-LDR 技术是多重PCR 技术和多重LDR(Ligase Detection Reaction,连接酶检测反应)相结合的SNP基因分型技术。
技术路线

合作方式
技术服务和供应试剂盒
适用范围
1-10个SNP位点的SNP分型服务(适用于动植物、人医学遗传学);可定制基因检测套餐;试剂盒用户需配备相应的技术人员和一代测序平台如ABI3730xl基因测序仪。
翼和生物自主知识产权的多重PCR技术,结合高通量测序技术,应用于大量样本已知SNP基因分型或目标区域序列分析。
技术路线

合作方式
技术服务和供应试剂盒
适用范围
10个以上已知SNP位点基因分型(动植物、人医学遗传学);目标区域重测序分析(动植物、人医学遗传学);可个性化定制服务和供应试剂盒;试剂盒用户需配备Illumina二代测序仪及相应的实验技术人员及生信分析团队。
遗传分析时经常遇到高同源序列分析的挑战,比如存在假基因、同源基因,在多倍体物种中更为普遍。翼和开发了多重长PCR的技术方案,通过长PCR的特异引物将目标区段分选出来,单管最多可以分选10个特异性的长片段。以此多重长PCR为基础,结合巢式PCR及LDR和建库测序,推出两项特色技术服务,解决高同源区段SNP分型难题!
技术路线

多重长片段巢式PCR-LDR分型原理
多重长片段巢式PCR-NGS分型原理
合作方式
技术服务
适用范围
二倍体和多倍体有参物种高同源区段已知SNP基因分型和目标区段序列分析。
目标区域甲基化重测序服务项目(Hi-MethylSeq),结合亚硫酸盐转化和多重PCR扩增建库测序技术,对目标区域甲基化位点进行分析,尤其适合队列样本的甲基化研究。
技术原理与路线
 |
 |
Hi-MethlSeq技术原理 |
Hi-MethylSeq技术路线 |
方法对比(与BSP)

合作方式
技术服务
适用范围
动植物表观遗传学研究;衰老、疾病等相关科研项目;大健康衰老评估。
翼和生物端粒相对长度检测技术来自于“国际表型组计划”项目子课题成果,改良了端粒长度检测的qPCR方法。新方法建立了创新的双色荧光qPCR检测方案,适用于血液、细胞和唾液等多种类型样本。同时,翼和初步建立了包含1500例样本的中国人群年龄组端粒长度数据库,客户检测结果可免费在数据库中比对,使得检测结果更有实际参考意义。
技术原理

人端粒长度数据库

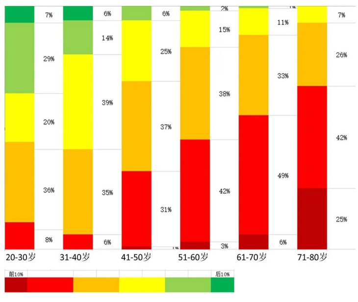
端粒长度人群分布
随着年龄增长,长端粒人数比例逐渐减少,短端粒人数比例逐渐增加。
合作方式
技术服务和供应试剂盒
适用范围
全血、细胞、口腔拭子、唾液等多种样本类型,推荐全血样本;试剂盒用户需具备荧光定量PCR仪,品牌不限。
翼和生物采用改良的双色荧光定量qPCR法检测,目的基因和内参基因在同一个管中进行反应,消除目的基因与内参基因的孔间差,结果更准确。

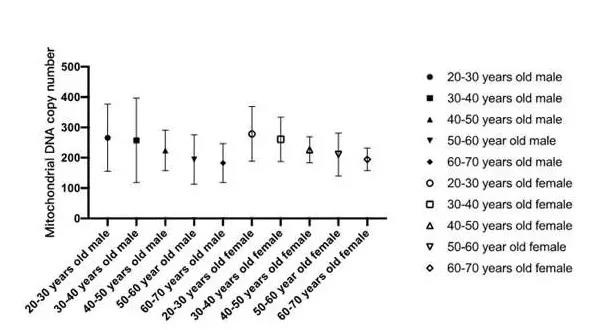
随着年龄增长,人线粒体拷贝数逐渐降低
合作方式
技术服务和供应试剂盒
适用范围
细胞样本、血液基因组和血清游离线粒体拷贝数分析;适用于老年医学、衰老和疾病等相关科研方向的队列研究;大健康衰老评估。
16年专业服务经验,值得信赖!
上海翼和应用生物技术有限公司
|