The Plant Cell:利用Agilent表达谱芯片研究茉莉酸调控拟南芥抗冷害反应和作用机制
 
       中国科学院西双版纳热带植物园余迪求课题组致力于研究改良农作物抵抗外源逆境因子胁迫的重要功能基因及其信号分子。最新研究发现,植物激素茉莉酸能够提高拟南芥抗冻害反应,并利用Agilent表达谱芯片,挖掘茉莉酸通过多条信号通路提高植物的抗冻害反应。该成果发表于顶尖杂志The Plant Cell。

研究背景:

      低温胁迫(cold stress)是影响植物分布和作物产量的重要环境因子之一,揭示植物如何适应低温胁迫的分子机制,对农业生产影响深远;植物激素茉莉酸(Jasmonate)是一类重要的生长调节激素,广泛参与调控植物的各种生理过程,如根的伸长、花色素苷的积累、表皮毛的发育、植物衰老及抗病反应等,但是茉莉酸是否参与调控植物的低温抗性反应及相应的分子机制仍有待揭示。

研究思路:

      研究者发现:外源施加茉莉酸显著提高植物的抗冻能力;阻断植物内源茉莉酸的合成及信号转导则导致植物对冻害敏感,说明茉莉酸能够促进植物的低温抗性。进一步研究发现,茉莉酸信号通路抑制子JAZ能与冷信号途径ICE–CBF/DREB1的关键转录因子ICE1和ICE2相互作用,抑制CBF/DREB1及其下游低温应答基因的表达。而茉莉酸受体Coi1-1可以降解JAZ,从而激活ICE1的转录活性,促进CBF/DREB1及其下游低温应答基因的表达。

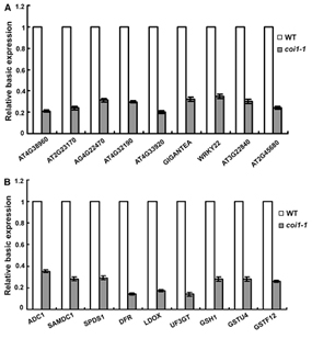
      除了ICE–CBF/DREB1信号通路,茉莉酸是否还通过其他途径调控植物抗冷害反应?研究者利用Agilent表达谱芯片检测低温条件下Coi1-1突变型和野生型拟南芥的表达谱,发现Coi1-1突变导致很多低温应答基因表达下调,包括ICE–CBF/DREB1信号通路基因和其他信号通路基因及次级代谢产物合成酶基因。因此,茉莉酸通过调控ICE–CBF/DREB1信号通路和其他信号通路提高植物的低温抗性。

部分表达谱芯片结果 低温条件下,突变型相对于野生型拟南芥中低温应答基因表达下调列表。红色表示非ICE–CBF/DREB1信号通路低温应答基因;粗体表示次级代谢产物合成酶基因。

RT-PCR验证表达谱芯片结果中部分异常表达低温应答基因 A: 非ICE–CBF/DREB1信号通路低温应答基因;B: 次级代谢产物合成酶基因。
(PCR验证基因表达情况与表达谱芯片结果一致)

研究意义:
      本研究发现了一个新的植物抗冷害分子——茉莉酸,对于系统研究植物抵抗非生物逆境胁迫的分子生物学机制及其信号通路,揭示植物逆境胁迫反应的分子生物学网络,挖掘能有效地改良农作物抵抗外源逆境因子胁迫的重要功能基因及其信号分子具有突破性意义;其作用和功能机制的阐明,对于应对环境变化,特别是低温冻害对农业生产的影响具有重要价值。

原文出处:
Jasmonate Regulates the INDUCER OF CBF EXPRESSION–C-REPEAT BINDING FACTOR/DRE BINDING FACTOR1 Cascade and Freezing Tolerance in Arabidopsis. The Plant Cell. 2013.

欢迎索取原文,请联系康成销售工程师,或拨打免费热线:400-886-5058;800-820-5058。

更多资讯:
乐享钜惠:microRNA-Seq、RNA-Seq、MeDIP-Seq技术服务 满6立减5000元
冰点降价:选任意一款芯片技术服务,享real-time PCR服务优惠6折起!
缤纷初夏:PCR芯片技术服务一次性购买5张,即可额外获赠1张芯片
Agilent/NimbleGen全基因组表达谱芯片技术服务
Nature Immunology新文章:miRNA与表达谱芯片联合应用,揭秘IFN-a抗病毒作用新机制

欢 迎 免 费 索 取 资 料

您的姓名:*

电子信箱:*

工作单位:

联系电话:*

通讯地址:*

手机号码:*

研究方向:*

备注:


备注:该信息、广告版权及其知识产权为我公司所有,任何企业不得抄袭,否则将保留追究其法律责任的权益。


地址:上海市虹漕路42163号楼2
全国免费热线:400-886-5058;800-820-5058
电话:021-64451989     传真:021-64451989
网址:www.kangchen.com.cn

本网页由康成生物委托 生物通 设计制作