
全新单细胞转录组分析试剂盒来咯!
| 单细胞转录组测序技术是指能够在单个细胞的水平上,对转录组进行高通量测序分析的一项技术。与传统高通量测序相比,单细胞测序不仅能够分析相同表型细胞的异质性,还能获取珍贵样本的信息。 |
|
曾经的它,虽然研究者对其抱有极高的热情,但却面临着单细胞分离困难,起始量太低,操作偏差大,实验成本昂贵等诸多难题。这也让许多研究者望而却步,只能感叹,“此曲只应天上有,人间能得几回闻”。
现在的它,伴随着研究手段的不断进步,俨然已是“旧时王谢堂前燕,飞入寻常百姓家”,广泛应用于神经生物学,癌症生物学等多个领域。虽然它日渐普遍,但依然不普通,追求更好更强仍然是研究者的目标。而什么是更好更强的单细胞转录组测序技术呢?
Takara新推出的这个产品告诉你答案!
SMART-Seq Single Cell Kit(Code: 634470)
该试剂盒基于SMART-Seq技术进行优化改良,具有更高的灵敏度和再现性,非常适合用于单细胞(尤其是RNA含量非常低的细胞,如PBMC)RNA-Seq的研究,不仅可用于差异表达分析,也可用于融合基因,可变剪切等研究。
更,更,更需要强调的是,优化升级的它,优于许多现有的单细胞全长cDNA合成方法,比如SMART-Seq2技术。
不信你往下看

---------------------------------------------------------------------------- 第一轮 -----------------------------------------------------------------------
SMART-Seq Single Cell VS SMART-Seq2
好技术不是靠说的,而是用来验证的--Takara实验案例展示
本次Takara Bio USA以淋巴母细胞系GM12878单细胞为样本制备文库,分别采用SMART-Seq Single Cell Kit(SSsc)和SMART-Seq2法(Smart-seq2)合成cDNA(均进行19个PCR循环扩增),然后制备RNA-Seq文库并进行测序分析(所有样本都均一化至1.75M paired-end reads)

Panel A 相比而言,SSsc检测到基因鉴别的reads数相对Smart-seq2较多。
Panel B SSsc能检测到比Smart-seq2更多的基因。
Panel C与Smart-seq2方法相比,SSsc的重复性更好。
Panel D 当TPM >1,SSsc检测到更低的Dropouts比率,也证明了SSsc更高的再现性。
---------------------------------------------------------------------------- 第二轮 -----------------------------------------------------------------------
SMART-Seq Single Cell VS SMART-Seq2
真实的用户反馈,才能更加安心--用户实例分享
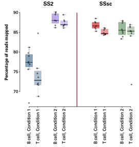
巴塞罗那国家基因组分析中心的团队负责人Holger Heyn博士,之前他一直在使用SS2。但也和其他许多SS2用户一样,也期望有现成的、经过验证的、再现性和灵敏度更高的产品可以使用。因此在SSsc推出时,Holger Heyn博士立即进行了SMART-Seq Single Cell Kit(SSsc)和SMART-Seq2(SS2)的对比实验。
本次实验,选取了RNA含量较低的B细胞和T细胞为样本制备文库,分别采用SSsc和SS2合成cDNA,且均分别进行23个(Condition 1) 和25个(Condition 2) PCR循环扩增。Holger Heyn博士指出,虽然SSsc和SS2的电泳图结果比较接近,但SSsc的 cDNA产量更高。并且在23个PCR循环和25个PCR循环,SS2的read mapped比率有显著差异(图1)。这表明,操作流程中的微小变化对SS2文库的可重复性也有显著影响。
 |
 |
| 图1 |
图2 |
除了read mapped比率外,实验结果显示的另一个关键指标:基因检测数方面SSsc也胜过SS2。 在相同样本起始情况下,SS2制备的文库平均能检测到约400个基因,而SSsc能鉴别的基因数至少是SS2的约5倍(图2),这说明SSsc提供了更高的灵敏度!
以上数据都证明了,经过优化和验证且根据严格的质量标准生产的SMART-Seq Single Cell Kit,能获得比SS2更高的灵敏度和更高的cDNA产量,更值得您的青睐!
|