2022年9月12日,Nature旗下新增子刊《Communications Medicine》在线发表了复旦大学公共卫生学院侯志远副教授课题组的研究成果“Mapping global acceptance and uptake of COVID-19 vaccination: A systematic review and meta-analysis”。该研究表明全球新冠疫苗接受度仍需提高,在不同人群、不同国家、不同时间和不同人口学特征之间,新冠疫苗接受度均存在较大差异。强调了持续监测新冠疫苗接受度的必要性,尤其是对于接受度较低的国家和人群,为提高新冠疫苗的接种率提供依据。
新冠肺炎(COVID-19)疫情目前已成为最具威胁性的全球健康问题,接种新冠疫苗是防控疫情最经济有效的手段。为了达到较高的新冠疫苗接种率并实现群体免疫,需要确保公众对新冠疫苗的信心和接受度。疫苗接受度被定义为:当有机会接种疫苗时,个人或群体做出的接受或拒绝接种的决定。目前已经有许多关于新冠疫苗接受度的研究,其在全球范围内存在很大差异。随着疫情的发展和新冠肺炎相关不实信息的广泛传播,公众的新冠疫苗接受度可能会随着时间的变化而变化。尽管越来越多的研究调查了公众新冠疫苗接受度,但针对这些研究的系统综述却很少。通过系统综述和meta分析,来评估全球的新冠疫苗接受度和接种率,对提高新冠疫苗接种率和防控疫情具有十分重要的意义。
图1. 全球成人和医务人员新冠疫苗接受度评估(%)
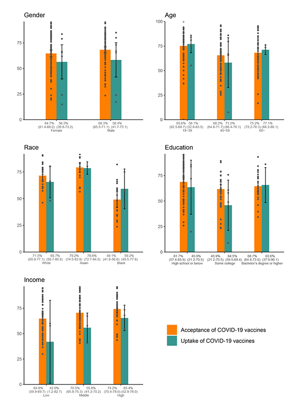
该研究显示,全球新冠疫苗接受度远低于群体免疫阈值,虽然实现群体免疫是理想情况,但仍需提高新冠疫苗接受度和接种率以防控疫情。研究表明,不同人群、不同国家、不同时间和不同人口学特征之间的新冠疫苗接受度差异较大。在成人、医务人员、慢性病患者、孕妇/哺乳期妇女、大学生、儿童和青少年中,孕妇/哺乳期妇女的新冠疫苗接受度和接种率均最低。另外,女性、<60岁、黑人、低文化程度、低收入人群的新冠疫苗接受度均较低。在成人中,全球新冠疫苗接受度在2020年2月至12月呈下降趋势,在2020年12月至2021年6月有所回升,并在2021年末又呈下降趋势。有必要持续监测新冠疫苗接受度,并重点关注疫苗接受度较低的国家和人群,以提高新冠疫苗接种率,并为公共卫生政策制定提供依据。
图2. 2020年2月至2021年12月成人和医务人员新冠疫苗接受度随时间变化的趋势
图3. 成人亚组之间新冠疫苗接受度和接种率的比较
复旦大学公共卫生学院王茜硕士和胡思梦硕士为论文共同第一作者,侯志远副教授为论文通讯作者。该研究得到英国国家健康研究所(16/137/109)、国家自然科学基金(71874034)和上海市“科技创新行动计划”软科学研究项目(22692107600)等基金的资助。
