HydraLinK™概述
HydraLinK™ 是一种新型的生物标记系统,可用于标记和固定化多肽、蛋白、碳水化合物以及DNA/RNA.
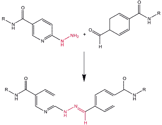
HydraLink™所采用的技术基于一分子2-hydrazinopyridyl moiety与一分子半苯甲醛(benzaldehyde moiety)反应,生成一个稳定的双芳香环的腙类化合物 (bis-aromatic hydrazone, 见图1)。此反应具高度特异性,在溶液中稳定存在且不易产生非特异性结合,这些特性使得HydraLink成为替代传统生物标记偶联技术,如马来酰亚胺/硫醇[maleimide/thiol]、生物素/亲和素[avidin/biotin]标记偶联方法的优秀方法(见表1)。
 图1 使用HydroLink™生物标记系统进行的 化学键选择性的交联反应 | HydraLink技术已经用于将小分子(多肽、荧光团)、生物大分子(蛋白、DNA和RNA)和其他分子连接到固相表面上(如玻璃、塑料、橡胶、硅颗粒),应用于蛋白质组学、基因组学研究,药物筛选,临床诊断及治疗等。  
|
| |
 Figure2: Advantages of HydraLink | 
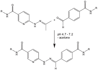
此技术的实现极为简单。蛋白质和固相表面经SFB (succinimidyl 4-formyl benzoate) 处理引入苯甲醛基团;同样的,使用SANH或SHNH引入2-hydrazinopyridine。肼基团(hydrazine)因其acetone hydrazone而受到保护,但是并不需要单独的去保护步骤以释放肼基团。在弱酸条件下,丙酮与芳香醛基迅速交换,生成所需的双芳香腙(bis-aromatic hydrazone) (Figure 2)。 |
 Figure 2: Conjugation of an SANH-modified biomolecule with an SFBmodified biomolecule. | 经由hydrazine 和aldehyde 修饰试剂修饰后的生物分子随后混合,反应形成hydrazone介导的偶联化合物。此反应的离去基团为水分子,不需还原试剂。反应最适pH 4.7,也可在高达pH 7.3的条件下进行,这时的反应速度比较慢。 |
HydraLinK™ 生物标记系统的特点
一、更高的稳定性(Enhanced stability) 使用肼、醛基修饰生物大分子与传统生物标记方法相比具有更高的稳定性。Figure3显示了肼修饰的IgG的稳定性数据。稳定性的延长使得试验人员可以在标记和固定化实验之前提前几天或几周准备修饰的蛋白,方便优化反应条件。若采用maleimido/thiol进行标记,大多数情况下修饰蛋白后必须紧接着进行标记实验。
二、非变性反应(Non-denaturing) 由于不需使用还原剂来稳定结合物,如DTT、氰基硼氢化钠(sodium cyanoborohydride)等,不会由于还原剂的存在导致蛋白的二硫键被还原为巯基,这种还原反应常会导致蛋白的变性和失活。
三、无交联(No cross-linking) 与maleimido- succinimidyl生物标记试剂不同,HydraLinK™标记试剂不会引起含暴露的Cys残基的蛋白之间的交联,如β- 半乳糖苷酶和某些膜蛋白。
四、可用于固相合成(Compatible with solid phase synthesis) 试剂可用于固相合成中寡核苷酸 的固定和固相多肽合成中多肽的固定。
五、可定量(Quantitation) 2-hydrazinopyridyl和苯甲醛的反应可以通过分光光度法和比色法(Figure 4)进行定量。
六、高选择性(Selective) 高选择性,减少了非特异性结合。
七、通用性(Versatile) 此技术也适用于芯片制备,用于固定多肽、蛋白和DNA。 |
HydraLinK™的应用 一、蛋白/蛋白偶联(Protein/Protein conjugation) 
Figure 5: Demonstration of the conjugation of hydrazine modified BSA (lane 2) and aldehyde-modified IgG (lane 4). Reactions of 1/1, 1/3, 3/1 molar equivalents of BSA-NHNH2 and IgG-CHO, lanes 5, 6 and 7 respectively. The subscript denotes the molar substitution ratio of modification groups on each protein. Lanes 8 and 9 are control reactions wherein unmodified BSA is reacted with IgG-CHO and BSANHNH2 is reacted with unmodified IgG respectively. | 肼、醛基氨基酸修饰试剂1(SANH)和2(SFB)分别用于修饰蛋白,一步反应形成半肼基、半苯甲醛基团。SANH分子的烃基腙(alkyl hydrazone)保护基团在酸性或中性条件下(pH 4.5-7.4)能迅速水解,释放出的半肼基与醛基修饰的生物分子反应,产生稳定的腙类偶联产物(Figure 2)。与传统的maleimido/thiol方法不同,这种方法修饰的蛋白可以稳定存在几个月。经修饰生成的反应基团的水平(MSR:molar substitution ratio,摩尔置换比率)可由比色法检测迅速测定。 图5为SDS-PAGE电泳结果,显示肼修饰BSA与醛修饰IgG迅速偶联,反应在温和条件下一步完成,不需还原试剂。 |
二、蛋白/寡核苷酸偶联(Protein/oligonucleotide conjugates)

Figure 6: IgG (lane 1) is first modified to incorporate hydrazine moieties by reaction with SANH 7.5 equiv and 15 equiv. followed by the reaction of 5’—modified oligonucleotide (22 mer) lanes 2 and 3 respectively. The gel on the left was developed with Coomassie blue to show the protein and the center gel was visualized by UVbackshadowing demonstrating that the oligonucleotide is associated with the protein. The gel on the right is a south-western blot experiment wherein the protein is transferred to a PVDF membrane and the 5’-fluorescein-labelled oligonucleotide complementary to the covalently linked oligonucleotide hybridized to the oligo/protein conjugate. This further demonstrates that the biological activity of the oligonucleotide is retained following conjugation. | HydraLink的hydrazone/carbonyl偶联反应对也应用于蛋白/寡核苷酸偶联(Figure 6)。如图6所示,IgG经7.5和15倍SANH处理,形成hydrazine moieties,纯化后的IgG-NHNH2与10倍经5’-aldehyde修饰的寡核苷酸在0.1 M MES, 0.9% NaCl, pH 4.7条件下反应两小时。电泳结果显示寡核苷酸与蛋白结合率为100%。随后蛋白转移至PVDF膜上,与5’荧光素标记的寡核苷酸杂交。这些荧光素标记的寡核苷酸与之前的寡核苷酸互补,从而可以杂交。此实验进一步说明与蛋白偶联的寡核苷酸保留了杂交的能力。在此实验中,一个75碱基的5’-醛基修饰的寡核苷酸成功的与肼基修饰的抗体结合,产量60-75%。 | | | | 三、糖蛋白/寡核苷酸偶联(Glycoprotein/oligonucleotide conjugates) 寡核苷酸经SANH (1) 试剂处理即可加上Hydrazine基团,修饰后的寡核苷酸可直接与氧化糖蛋白反应。图7显示5’- hydrazine修饰的寡核苷酸HRP反应的产物。反应仅需简单孵育,不需还原剂处理。 | 1. HRP 2. HPR-ox 3. HRP + H2NNH-Oligo 4. HRP-ox + H2NNH-Oligo Figure 7: PAGE gel demonstrating the reaction of 5’-hydrazinemodified oligonucleotide (22 mer) with periodate oxidized horseradish peroxidase.(lane 4). Lanes 1, 2 and 3 are HRP, Periodateoxidized HRP and the control reaction of hydrazine-modified oligonucleotide with native HRP. |
四、寡核苷酸/多肽偶联(Oligonucleotide/peptide conjugates)
Figure 8: PAGE gel of the reaction of the Nterminus- hydrazonemodified peptide (2 equivalents, lane 2) with a 5’-aldehyde oligonucleotide (1 equivalent, lane 1); oligo-peptide conjugate, lanes 3, 4. | hydrazine/aldehyde方法同样可用于寡核苷酸/多肽偶联物的制备(Figure 8)。如图8,一个5’-aldehyde修饰的寡核苷酸,与一个带N端acetone nicotinylhydrazone的 15氨基酸的多肽反应。只需直接将多肽加入修饰的寡核苷酸中(Lane 1),即可生成寡核苷酸/多肽偶联产物(Lane 2),反应不需还原剂。 |
HydraLink™蛋白/蛋白偶联物的制备流程 使用HydraLinK™ 试剂盒的SANH和SFB的一般实验流程如图9 : Preparation of a protein/protein conjugate using HydraLinK™ SANH and SFB.。
一、修饰反应(Modification reactions) 修饰反应的摩尔置换比率由蛋白浓度和相应的修饰试剂浓度决定。随着蛋白浓度、修饰试剂浓度增加,MSR增大。蛋白的过度修饰可能导致蛋白沉淀和失活。由于各种蛋白的性质差异很大,在某些情况下需要优化修饰反应条件。一般来说,首先采用蛋白:修饰剂摩尔比1:10,蛋白浓度4mg/ml的条件进行反应。此条件下通常每个蛋白形成2.5-3个修饰基团。反应在pH 7.2-7.8进行。使用SHNH试剂时,应特别注意测量加入此试剂后反应混合物的pH值,确保反应体系不会过酸。可以取0.5-1.0 µl反应混合物,点在pH试纸上以检测pH值。蛋白修饰前须经透析,改换为修饰反应缓冲液,并确定蛋白浓度。建议蛋白浓度大于1.5 mg/ml。必须避免使用含胺缓冲液如Tris或甘氨酸。偶联反应后,多余未反应的hydrazino或aldehyde基团可以通过加入2- sulfobenzaldehyde或2-hydrazinopyridine分别封闭。当进行多肽或DNA与蛋白的偶联反应时,只需加入与蛋白上的反应基团互补的保护基团即可。进行蛋白-蛋白偶联反应时,如须同时掩盖两个蛋白上的反应基团,应隔一小时分别加入保护试剂,以防止交叉反应。第二次加入的保护试剂的量应为第一次加入的两倍,以补偿它与之前的保护试剂反应消耗的量。
实验 1: SANH/SHNH修饰 1、 修饰反应
SANH或SHNH溶液的制备:将2.0-4.0 mg SANH或SHNH溶于100-200 µl DMF中,制备成0.2 mM溶液,足够用于2 mmol 蛋白的修饰。 待修饰蛋白溶于修饰缓冲液中(4 mg/ml),将所需体积的SANH/DMF溶液加入蛋白溶液中,使DMF在反应混合物中的体积比为5-10%。旋转混匀反应混合物,检测其pH值。可使用1 M NaHPO4调至pH 7.4。 室温孵育至少2-3小时。 使用凝胶过滤(如Sephadex G-25)、透析或渗滤除盐。合并蛋白组分,减少总体积,使用BCA或Bradford检测方法确定蛋白浓度。
2、肼基掺入量的定量检测 0.5 mM 对硝基苯甲醛缓冲溶液的制备:将50 mmol 对硝基苯甲醛溶于1 ml有机溶剂如MeOH、DMF或DMSO中;取10 µl 加入到990 µl 酸性缓冲液,推荐采用100 mM 醋酸缓冲液(pH 5.0),或100 mM MES(pH 5.0)。 取含10 µg 肼基修饰的蛋白溶液,加入95 µl 对硝基苯甲醛溶液中,37°C孵育1小时,或室温孵育2小时。计算反应溶液中蛋白浓度,测定溶液380 nm的光吸收值(以同样体积缓冲液代替蛋白溶液参加反应作为空白对照)。 按以下公式计算MSR值: MSR=(样本吸光度-空白对照吸光度)/(测试溶液中蛋白浓度 x 22000x 路径长度) 注:路径长度指光通过测试样本的长度,一般可用比色槽内部宽度替代
实验 2: SFB修饰 1、 修饰反应 将4 mg SFB溶于100 µL DMF中,制成浓度0.2 mM 的SFB/DMF溶液。 将蛋白溶于修饰缓冲液中,浓度4 mg/ml。将一定体积的SFB/DMF溶液加入蛋白溶液中,使得DMF占总体积的5 -10%。 室温孵育至少2-3小时。 使用凝胶过滤(如Sephadex G-25)、透析或渗滤方法除盐。 合并含蛋白组分,减少体积,使用BCA或Bradford检测方法确定蛋白浓度。
2、醛基掺入量的定量检测 0.5 mM 2-hydrazinopyridine · 2HCl缓冲液制备:将50 mM 2-hydrazinopyridine · 2HCl 溶于1 ml 水或缓冲液中,取10 µl 加入990 µl 酸性缓冲液如100 mM 醋酸缓冲液(pH 5.0),或100 mM MES(pH 5.0)中。 取含10 µg 苯甲醛修饰的蛋白溶液,加入95 µl 制备好的0.5 mM 2-hydrazinopyridine · 2HCl缓冲液中,37°C孵育1小时,或室温孵育2小时。计算反应溶液中蛋白浓度,测定溶液350 nm的光吸收值(以同样体积缓冲液替代蛋白溶液参加反应作为空白对照)。 按以下公式计算hydrazine/protein 的MSR值: MSR=(样本吸光度-空白对照吸光度)/(测试溶液中蛋白浓度 x18000 x 路径长度) 注:路径长度指光通过测试样本的长度,一般可用比色槽内部宽度替代
二、Conjugation reaction偶联反应 修饰后的蛋白之间的结合偶联反应受蛋白浓度、蛋白修饰程度、pH值、反应时间、缓冲液条件等影响。Hydrazone的形成为一个酸催化反应,最适pH为4.7-5.0,反应在pH 7.2条件下也能进行,但反应相对缓慢。由于HydraLink™对蛋白的修饰有更好的稳定性,结合反应时蛋白起始浓度可以低至0.1 mg/ml。结合偶联反应也可在37°C进行。
两个蛋白之间的交联程度与MSR值(每个蛋白反应基团数)有关,例如,若其中一种蛋白或两者都含有超过5个活性反应基团,反应会生成分子量极大的多聚物。
实验 3: 偶联 将分别经SFB、SANH修饰的蛋白以所需摩尔比混合于结合反应缓冲液中,孵育过夜。反应程度可以通过PAGE电泳进行判断。目的蛋白上未反应的hydrazine 或aldehyde基团可以分别通过在反应混合物中加入2-sulfobenzaldehyde或2-hydrazinopyridine进行封闭。 通过凝胶过滤或离子交换等层析方法分离蛋白/蛋白偶联产物。
所需试剂、缓冲液 HydraLink™ Kit A 修饰缓冲液:
100 mM phosphate, 150 mM sodium chloride, pH 7.2-7.4 注意: 在蛋白修饰反应中,不推荐采用PBS (10 mM phosphate, 150 mM sodium chloride, pH 7.2)缓冲液。因为这种低磷酸盐缓冲液的缓冲容量低。
偶联缓冲液: 偶联反应形成腙的最适pH值为pH 4.7,但较高pH条件下反应仍能进行,尽管反应速度会减慢。以下缓冲液经测试都可成功用于生物标记反应: pH 4.7: 100 mM MES, 150 mM NaCl pH 5.0: 100 mM acetate pH 6.0: 100 mM citrate, 150 mM NaCl pH 7.2: 100 mM phosphate, 150 mM NaCl * 注意:对于抗体偶联,建议采用柠檬酸缓冲液,pH 6.0以确保抗体免疫活性。 脱盐柱或渗滤装置: 用于分离多余修饰蛋白。
HydraLinK™偶联相关试剂(更多固相合成相关试剂请与MERCK联系,800-820-8872) | 产 品 描 述 | 目录号 | 规格 | | HydraLinK™ Kit A本试剂盒提供了用于蛋白肼/苯甲醛修饰和定量所需的试剂。试剂盒中提供:HydraLinK™ SANH Reagent (25 mg)、HydraLinK™ SFB Reagent (100 mg)、HydraLinK p-Nitrobenzaldehyde Reagent (100 mg)、HydraLinK™ 2-Hydrazinopyridine Reagent (100 mg)、HydraLinK™ 2-Sulfobenzaldehyde Reagent (50 mg),-18OC保存 | 08-01-0001 | 1kit | | HydraLinK™ SHNH ReagentSuccinimidyl 2-hydrazinonicotinate hydrochlorideC10H10N4O4; M.W.: 286.7,用于以2-Hydrazinopyridin moieties修饰含氨基的生物分子或固相表面,-18OC保存 | 01-63-0118 | 25 mg 100 mg | | HydraLinK™ SANH ReagentAcetone 5-(Succinimidyloxycarbonyl)-pyridine-2-ylhydrazoneC13H14N4O4; M.W.: 290.2,用于以2-Hydrazinopyridin moieties修饰含氨基的生物分子或固相表面,-18OC保存 | 01-63-0117 | 25 mg 100 mg | | HydraLinK™ SHTH Reagent5-(Succinimidyloxycarbonyl)-benzoylhydrazinium chlorideC12H11N3O5; M.W.: 313.7,用于以Benzoylhydrazine moieties修饰含氨基的生物分子或固相表面,-18OC保存 | 01-63-0119 | 25 mg 100 mg | | HydraLinK™ SFB ReagentSuccinimidyl 4-formylbenzoateC12H9NO5; M.W.: 247.1,用于以aldehyde moieties修饰含氨基的生物分子或固相表面,-18OC保存 | 01-63-0120 | 100 mg | | HydraLinK™ 6-HNA Reagent6-Hydrazinonicotinic acidC6H7N3O2; M.W.: 153.1,用于以2-Hydrazinopyridin moieties修饰含氨基的生物分子或固相表面,冷藏保存 | 01-63-0123 | 100 mg |
|