
-
生物通官微
陪你抓住生命科技
跳动的脉搏
新型炎症营养指标HALP评分预测房颤合并急性冠脉综合征或PCI患者预后的临床价值
【字体: 大 中 小 】 时间:2025年07月15日 来源:BMC Cardiovascular Disorders 2
编辑推荐:
语房颤(AF)与急性冠脉综合征(ACS)或经皮冠状动脉介入治疗(PCI)患者预后评估存在盲区。阜外医院团队针对1794例患者开展前瞻性队列研究,首次揭示血红蛋白-白蛋白-淋巴细胞-血小板(HALP)评分对主要心血管不良事件(MACE)的独立预测价值。研究发现高HALP组(>62.39)MACE风险降低39%(HR 0.61),且与GRACE/CHA2DS2-VASc评分联用可显著提升预测效能(NRI 0.332-0.339)。这一新型指标为临床风险分层提供了简易、经济的工具。
心血管疾病领域长期面临一个关键挑战:房颤(AF)与冠心病(CAD)常共存且相互影响。据统计,15%-50%的AF患者合并CAD,而约20%的ACS患者同时伴有AF。这两类疾病不仅共享高血压、糖尿病等危险因素,更因治疗策略冲突(抗凝vs抗血小板)导致临床决策困境。更严峻的是,AF可使ACS患者死亡率增加40%,而心肌梗死又会诱发新发AF或加重现有心律失常。因此,寻找能精准预测这类共病患者预后的生物标志物,对优化治疗策略、改善临床结局具有迫切需求。
中国医学科学院阜外医院急诊中心的Xin Yijing、Yang Yanmin等研究人员开展了一项前瞻性观察性队列研究。研究纳入2017-2019年期间1794例合并AF的ACS患者或接受PCI治疗者,中位随访时间达3.1年(1128天)。研究团队创新性地引入HALP评分(公式:血红蛋白(g/L)×白蛋白(g/L)×淋巴细胞计数(109/L)/血小板计数(109/L))作为核心预测指标,通过多维度分析评估其与主要心血管不良事件(MACE,含全因死亡、心肌梗死、脑卒中、缺血性血运重建等复合终点)的关联性。
关键技术路线包含:
前瞻性队列构建:从阜外医院纳入2182例初始样本,经严格排除标准(院内死亡、数据缺失、失访)后保留1794例;
四分组比较:按HALP评分四分位分组(Q1<31.42, Q2:31.42-45.28, Q3:45.29-62.39, Q4>62.39);
生存分析:采用Kaplan-Meier曲线和log-rank检验比较组间MACE风险;
多变量校正:通过Cox比例风险模型校正年龄、性别、心功能分级(Killip分级)等混杂因素;
非线性关联探索:应用限制性立方样条(RCS)揭示HALP与MACE的剂量反应关系;
模型增量价值:计算GRACE和CHA2DS2-VASc评分加入HALP后的净重分类改善指数(NRI)和综合判别改善指数(IDI)。
1. 基线特征揭示生物学差异
在HALP评分最高的Q4组中,男性比例显著更高(81.29% vs Q1 63.39%),STEMI/NSTEMI患者比例更低(18.04%/12.92% vs 29.02%/23.21%)。实验室指标显示:Q4组淋巴细胞计数(中位2.20×109/L)和血红蛋白(153g/L)显著高于Q1组(1.06×109/L,135g/L),而血小板计数更低(176×109/L vs 241×109/L),印证HALP整合了营养、炎症和凝血等多系统状态。
2. 生存曲线显着分层

Kaplan-Meier曲线显示四组MACE风险差异极显著(log-rank P<0.01)。Q4组(HALP>62.39)3年MACE发生率仅16.93%,而Q1组(HALP<31.42)高达31.92%,表明高HALP评分具有保护效应。
3. Cox模型确认独立预测价值
多因素校正后(年龄、性别、心衰史等),Q4组MACE风险较Q1组降低39%(HR 0.61, 95%CI 0.45-0.81, P<0.01)。HALP每增加1单位,MACE风险降低1%(HR 0.992, P<0.01)。值得注意的是,这种保护效应在男性、≥60岁、无心衰、无糖尿病人群中尤为显著(交互作用P<0.05)。
4. 非线性阈值效应

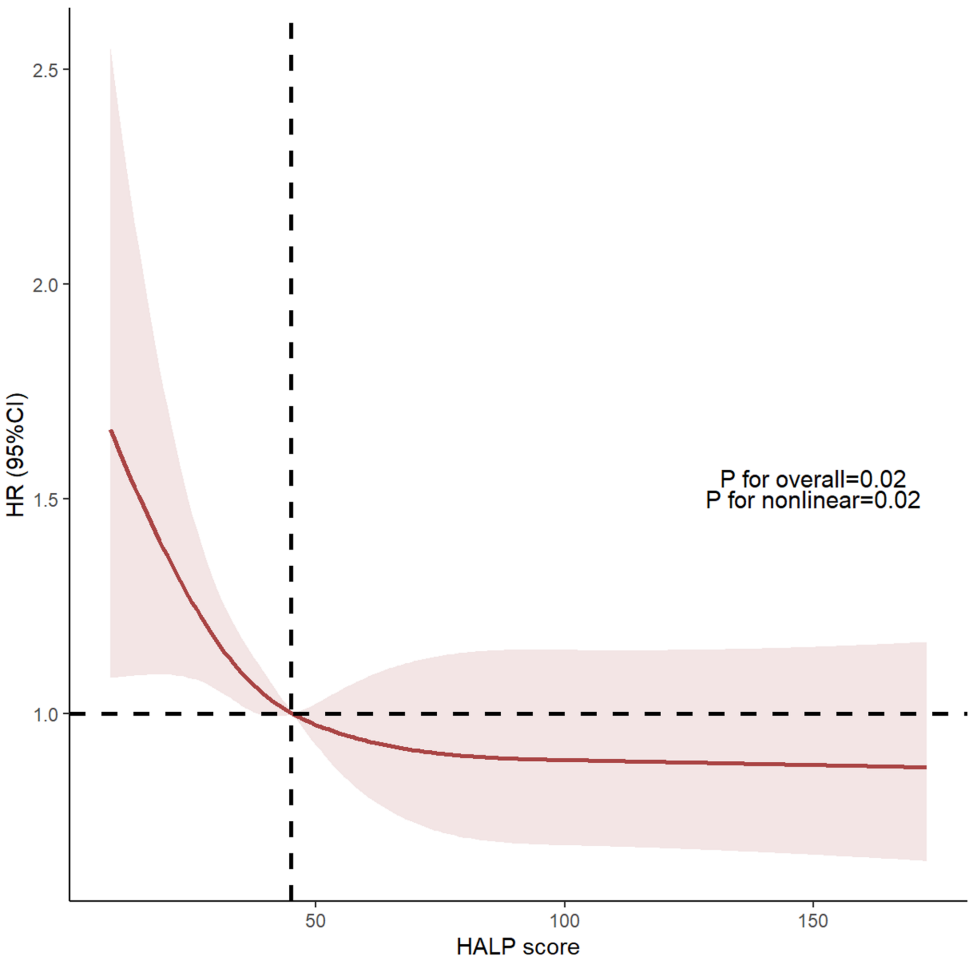
RCS分析首次揭示HALP与MACE呈L型非线性关联(总体P=0.02,非线性P=0.02)。临界值44.95被确定为风险拐点:当HALP<44.95时,每降低1单位MACE风险增加1.8%(HR 0.982, P<0.01);而高于此阈值时,HALP变化无显著影响(P=0.13)。
5. 临床评分系统优化
将HALP纳入传统评分系统后:
GRACE评分预测MACE的C指数从0.676升至0.688(NRI=0.339, P=0.019)
CHA2DS2-VASc评分预测全因死亡的C指数从0.740升至0.748(NRI=0.202, P=0.024)
本研究首次证实HALP评分是AF合并ACS/PCI患者长期预后的强预测因子。其价值体现在三方面:
机制层面:HALP整合了贫血(血红蛋白)、营养不良(白蛋白)、炎症激活(淋巴细胞↓/血小板↑)等多病理生理过程,为共病机制研究提供新视角;
临床实践:44.95的临界值可快速识别高危患者(HALP<44.95者MACE风险增加82%),且检测成本低廉、结果立即可得;
风险评估革新:通过NRI和IDI验证,HALP可显著提升GRACE/CHA2DS2-VASc等传统评分的预测效能。
未来需在以下方向深入探索:多中心验证H
生物通微信公众号
知名企业招聘