
-
生物通官微
陪你抓住生命科技
跳动的脉搏
最大力量训练改善优秀铁人三项运动员肌肉-肌腱特性并促进肌腱基质重塑的研究
【字体: 大 中 小 】 时间:2025年07月28日 来源:Scientific Reports 3.8
编辑推荐:
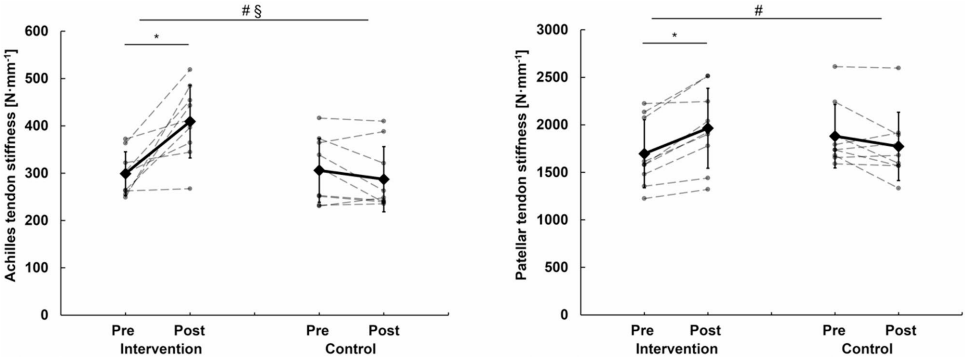
本研究针对优秀耐力运动员在高强度有氧训练中肌腱适应性不足的问题,通过12周最大力量训练(ST)干预,发现其可显著提高跟腱(39.1%)和髌腱(15.8%)刚度,增强膝关节伸肌最大等长力量(8.9%)和动态力量(1RM提高20%)。研究首次证实肌腱机械特性改变与基质金属蛋白酶(MMP-I/III)和核心蛋白聚糖(decorin)的急性表达相关,为耐力运动员的复合训练方案提供了分子水平证据。成果发表于《Scientific Reports》。
在耐力运动领域,一个长期存在的矛盾困扰着运动员和教练员:如何在高强度有氧训练的同时,有效改善肌肉-肌腱单元的机械特性?传统观点认为,大量耐力训练可能抑制肌腱对力量训练(ST)的适应性反应。特别是对于铁人三项这类需要兼顾跑步和骑行的多项目运动,跟腱(Achilles tendon)和髌腱(patellar tendon)的不同生物力学特性使得训练干预更具挑战性。
德国开姆尼茨工业大学(Technische Universit?t Chemnitz)运动医学与运动治疗系的研究团队在《Scientific Reports》发表的最新研究,为这一难题提供了突破性答案。研究人员发现,即便是训练有素的铁人三项运动员(VO2max达64.43±4.65 ml kg-1 min-1),在保持原有高强度有氧训练的同时,进行12周系统性的最大力量训练,仍能显著改善肌腱力学特性和肌肉力量。这一发现打破了"耐力训练会阻碍肌腱适应性"的传统认知,为复合训练方案提供了科学依据。
研究采用随机对照设计,通过超声力-伸长测量、血液生物标志物分析和功能性测试等关键技术。18名运动员被分为力量+耐力训练组(干预组)和单纯耐力训练组(对照组)。干预组完成30.2±3.6次ST课程,重点采用1-8RM负荷、3秒/次(1秒向心+2秒离心)的慢速训练模式,以创造足够的机械刺激。研究人员在训练前后分别评估了肌腱刚度、最大力量及运动经济性,并在第1周和第12周的实验性ST课程前后采集血液样本,分析MMP-I/III、decorin等基质重塑标志物。

肌肉力量与肌腱机械特性方面,干预组跟腱刚度显著增加39.1±31.8%(p=0.001),髌腱刚度提高15.8±8.5%(p=0.001),膝关节伸肌最大等长力矩增长8.9±5.7%(p=0.002),深蹲1RM提升20.0±9.7%(p<0.001)。这些变化在对照组均未出现,证实ST对下肢肌腱-肌肉单元的特异性改善作用。

血液生物标志物结果显示,首次ST课程后MMP-I血清浓度显著升高46.30±20%(p<0.001),而第12周课程后MMP-III表达增加40.77±20.13%(p<0.001)。核心蛋白聚糖(decorin)在两次课程后均显著升高(30.50±19.94%和36.59±37.81%),表明肌腱基质重塑的动态过程。值得注意的是,对照组基础tenascin-c浓度显著降低(-19.49±20.55%),而干预组保持稳定,提示ST可能维持肌腱修复能力。
运动经济性测试发现,虽然RE(running economy)和CE(cycling economy)未达统计学显著改善,但干预组峰值功率(Pmax)提高14.8±8.5%(p<0.001),暗示潜在性能提升可能需更长时间显现。
这项研究首次系统证实:1) 跟腱和髌腱对最大力量训练具有相似响应性,不受高强度耐力训练干扰;2) 肌腱刚度改善与MMP-I/III、decorin的急性表达存在时序关联;3) ST可维持tenascin-c水平,防止肌腱修复能力下降。这些发现为耐力运动员制定个性化复合训练方案提供了理论依据,特别是通过监测血液ECM标志物优化训练负荷。未来研究可扩大样本量,延长干预周期,并探索肌腱适应性对运动损伤预防的长期影响。
生物通微信公众号
知名企业招聘