
-
生物通官微
陪你抓住生命科技
跳动的脉搏
南方医院刘克玄团队在国际呼吸领域顶级期刊发表重要研究成果
【字体: 大 中 小 】 时间:2022年10月22日 来源:南方医科大学
编辑推荐:
近日,南方医院麻醉科刘克玄教授团队在国际呼吸领域顶级期刊European Respiratory Journal(中科院小类呼吸病学一区,IF=33.795)上以论著形式在线发表了题为“Gut microbiota-derived succinate aggravates acute lung injury after intestinal ischemia/reperfusion in mice”的研究论文。麻醉科王宜衡博士和闫征征博士为论文共同第一作者,刘克玄教授和李偲教授为论文共同通讯作者,…
近日,南方医院麻醉科刘克玄教授团队在国际呼吸领域顶级期刊European Respiratory Journal(中科院小类呼吸病学一区,IF=33.795)上以论著形式在线发表了题为“Gut microbiota-derived succinate aggravates acute lung injury after intestinal ischemia/reperfusion in mice”的研究论文。麻醉科王宜衡博士和闫征征博士为论文共同第一作者,刘克玄教授和李偲教授为论文共同通讯作者,南方医科大学南方医院为论文第一署名单位。该论文是刘克玄教授团队继在Microbiome、Br J Anaesth、Gut Microbes等国际期刊发表肠道菌群相关的高影响力研究论文后的又一重要突破。

肠缺血再灌注(Ischemia/reperfusion, I/R)是临床常见的急危重症情况,常发生在创伤、感染、休克及肠梗阻、体外循环手术等临床现象中,不仅引起肠损伤,还因肠屏障破坏后菌群失调、内毒素移位,导致脓毒症及肠外多器官功能不全甚至衰竭。急性肺损伤(Acute lung injury,ALI)作为肠I/R最为常见的远隔脏器并发症,是该类患者死亡的主要原因。迄今为止,ALI的发病机制尚不明确且无有效的防治措施,是当前呼吸与危重病领域急需解决的科学问题之一。肠道菌群及其代谢产物可通过影响免疫系统功能参与许多肺部疾病的发生,然而在肠I/R所致ALI中的作用尚不清楚。为揭示上述问题,刘克玄教授团队复制了小鼠肠I/R诱导的ALI模型,同时通过16S rRNA菌群测序分析发现,肠 I/R引起肠道(而非肺部)产生琥珀酸的细菌丰度增加,而降解琥珀酸的细菌丰度减少。肠 I/R还可导致肺内琥珀酸的聚集;且肺内琥珀酸含量与肠道内产生琥珀酸细菌/降解琥珀酸细菌的比值[(P+T+B)/(R+O+C)]呈正相关。进一步,该团队通过抗生素清除实验、粪菌移植实验及体内荧光素标记实验等技术方法证实:①广谱抗生素清除肠道菌群的伪无菌小鼠与无菌(Germ-free, GF)小鼠在肠I/R后,其肺内积聚的琥珀酸含量显著下降,肺部炎症与肺损伤显著减轻;②GF小鼠在移植肠I/R小鼠的粪便后肺内琥珀酸积聚、肺部炎症与肺损伤的表型得以复现;③采用携带绿光标记的FAM-琥珀酸对小鼠进行灌胃处理,再复制肠I/R模型,发现肠道与肺部荧光信号增强,提示肠I/R期间琥珀酸从肠转移到肺。这些研究结果均表明,肠I/R期间肺内积聚的琥珀酸来源于肠道菌群,而肠道菌群代谢物琥珀酸则是导致肠I/R后ALI的重要媒介。

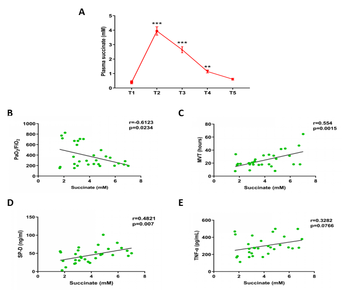
通过临床验证发现,体外循环心脏手术患者术后早期血浆琥珀酸水平升高,且血浆琥珀酸含量与体外循环术后反映肺损伤的相关指标呈显著的正相关,进一步提示琥珀酸与肠I/R导致的ALI有关。

该团队进一步探讨了琥珀酸在肠 I/R 后 ALI 的作用及具体机制。通过琥珀酸体内外干预实验、氯磷酸脂质体清除小鼠巨噬细胞实验及肺泡巨噬细胞、肺泡上皮细胞共培养离体实验发现,琥珀酸可促进肺泡巨噬细胞 M1 极化,导致肺泡上皮细胞凋亡和 ALI,且琥珀酸的作用依赖于肺泡巨噬细胞的参与。最后,该团队还深入探讨了琥珀酸介导肠 I/R 导致 ALI 的信号分子机制。通过琥珀酸受体(SUCNR1)体内外抗体中和实验和 Sucnr1 基因敲除/敲减实验表明,敲除或阻断 SUCNR1可减轻肠 I/R 导致的 ALI,一系列体内体外实验结果表明琥珀酸通过其受体 SUCNR1 及下游 PI3K/AKT/HIF-1α 通路促进肺泡巨噬细胞极化,进而导致肺泡上皮细胞凋亡和 ALI。

该研究首次揭示了肠道菌群代谢产物琥珀酸在肠 I/R 所致 ALI 过程中的关键性作用,琥珀酸作为肠道菌群的重要代谢产物,通过作用其受体 SUCNR1 促进肺泡巨噬细胞极化,进而导致肺损伤。该研究不仅从“肠道菌群-肠-肺轴”的全新角度揭示了肠源性 ALI 的发生机制,同时率先提出了琥珀酸是急危重患者肠源性 ALI 防治的新靶点,未来靶向调控琥珀酸代谢相关的肠道菌群或是防治肠源性肺损伤的有效手段。