
-
生物通官微
陪你抓住生命科技
跳动的脉搏
检测大脑耗氧量的新方法
【字体: 大 中 小 】 时间:2022年11月30日 来源:Neurophotonics
编辑推荐:
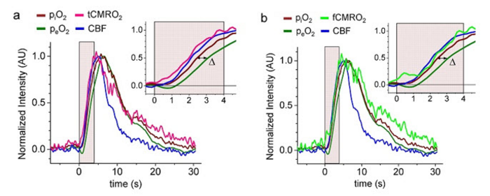
脑耗氧代谢率(CMRO2)是衡量大脑能量消耗和活动的重要生理指标,直接评价脑耗氧代谢率一直是神经科学研究的目标。在一项新的研究中,研究人员开发了一种新的方法来实时测量CMRO2和脑血流。这种全光学方法结合了双色磷光寿命氧饱和度测量和激光散斑对比成像。该方法为理解在一系列条件下的大脑代谢提供了新的机会。
测量提供了一个独特的机会来比较四个参数的反应,CBF, piO2, peO2和CMRO2,从而揭示有关反应幅度和动力学的生理学重要信息,这是其他方法无法获得的。
人类的大脑消耗大量的能量,需要不间断的氧气供应来维持它的活动。因此,大脑配备了一个精致的血管网络,将氧分子运输到脑细胞。脑耗氧代谢率(CMRO2),显示大脑在特定时间消耗了多少能量,是大脑活动的一个关键指标。CMRO2的直接定量是神经学的一个重要目标,如CMRO2是稳态条件下组织病理的一种有价值的测量方法,如与癌症、创伤性脑损伤和中风相关的组织病理。此外,它在神经元活动期间的动态测量可以揭示大脑功能反应下的代谢过程。虽然目前的一些方法可以量化CMRO2,在美国,它们通常不提供有关代谢事件和血管反应的相对时间的信息。
为了对CMRO2有更清晰的了解,宾夕法尼亚大学的研究人员开发了一种新的光学技术。文章发表在Neurophotonics,该技术使用一对大分子磷光探针,在临床前动物模型应用CMRO2的实时监测和脑血流(CBF)。“目前对CMRO2动态跟踪大多数方法是基于血红蛋白氧饱和度和CBF的测量,如CMRO2动力学与CBF的动力学有内在的联系。我们想开发一种不受这种限制的方法,”该研究的首席研究员Sergei A. Vinogradov教授解释说。
这项技术直接探测大脑的氧梯度。氧梯度取决于大脑血管内(血管内)和脑细胞附近(血管外)氧浓度的差异。当脑细胞的新陈代谢变得更加活跃时,它们会消耗更多的氧气,使这个梯度变得更陡。因此,这个梯度携带了关于氧气消耗的信息,可以用来确定CMRO2。
关键的一步是找到一种同时测量血管外和血管内氧水平差异的方法。为此,研究人员将一种名为Oxyphor PtR4的磷光探针注入血液,另一种名为Oxyphor PtG4的探针直接注入血管之间的空间。这两种氧摄体有不同的颜色,通过使用两种不同的激光器,研究小组可以以大约7赫兹的时间分辨率同时测量探测器的信号。该技术应用于临床前模型,他们演示了在大脑功能激活的过程中CMRO2的实时计算和跟踪。使用第三种激光,研究人员还成功地测量了CBF和CMRO2采用激光散斑对比成像的方法。
西雅图儿童研究所发育生物学和再生医学中心的首席研究员、副主编Andy Shih教授说:“这种在血管内和血管外分隔室中巧妙开发和使用探针对的方法为测量脑耗氧量打开了大门。”
该研究的另一位通讯作者Arjun yoh教授解释说:“我们的方案提供了一个机会,可以直接实时观察大脑代谢的变化,并同时比较血管反应与代谢反应。随着技术的发展,我们预计这种方法将更广泛地用于测试药物和大脑代谢的其他效应器,它应该允许对代谢模型进行更严格的检查。”
事实上,这项研究是第一次证明 当大脑功能活跃时,能够实时监测局部血流和组织氧梯度。它通过揭示伴随神经元活动的生理过程的更多细节,为大脑代谢的动态测量开辟了新的可能性。
生物通微信公众号
知名企业招聘