
-
生物通官微
陪你抓住生命科技
跳动的脉搏
Takara新品|含UMI的单细胞RNA-Seq分析试剂盒来咯!
【字体: 大 中 小 】 时间:2022年12月06日 来源:Takara
编辑推荐:
在单细胞RNA-seq领域,Takara Bio提供的SMART技术,可以帮助研究人员进一步突破RNA-seq灵敏度上限,提供高质量的单细胞转录组分析结果。本次推荐的新品SMART-Seq mRNA LP (with UMIs),就是整合UMI的单细胞/微量样本的mRNA全长分析建库试剂盒。
单细胞转录组测序是指在单个细胞水平上,对转录组等遗传信息进行高通量测序分析的一项技术。 研究罕见或珍贵的样本,比如神经元细胞、干细胞、CTC等,需要非常高的灵敏度和再现性,因为单个细胞中RNA的含量十分有限(根据单个细胞的大小等情况不同,每个细胞可能只含有几十皮克的RNA)。因此,生成没有偏倚的mRNA-seq cDNA文库是很具有挑战性的一项工作。
创新研究不断推动新技术的边界,以获得引人注目的结果,而这其中仍然需要试剂、技术的支撑。在单细胞RNA-seq领域,Takara Bio提供的SMART技术,可以帮助研究人员进一步突破RNA-seq灵敏度上限,提供高质量的单细胞转录组分析结果。本次推荐的新品SMART-Seq mRNA LP (with UMIs),就是整合UMI的单细胞/微量样本的mRNA全长分析建库试剂盒。
产品亮点
• “高端”的技术万里挑一
基于Takara Bio的核心SMART技术(Switching Mechanism at 5' End of RNA Template)优化改良,提供全长转录本信息,可以高灵敏度地在单细胞水平上分析差异表达、融合基因、可变剪接等。
• 加持的“标签”鼎力相助
通过逆转录步骤添加分子标签(UMIs),可以灵敏地识别PCR重复片段,并校正PCR扩增错误,从而获得更高准确性的基因或转录本检测数。
• 连贯的文库构建流程
同时整合了Takara Bio专利性 的文库构建技术(U.S. Patents 7,803,550, 8,399,199, 8,728,737, 9,598,727, 10,196,686, 10,208,337, 和11,072,823),利用特别的茎环形接头构建高品质Illumina文库!另外,搭配使用Unique Dual Index Kits(单独销售),可以提供完整的从样品到cDNA合成,再到文库构建的实验体验。同时搭配特别开发的Cogent NGS生物信息学分析软件,能直接对下机数据进行分析!
性能展示
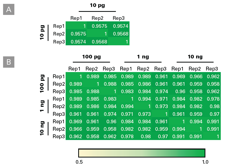
• 再现性测试数据
以10 pg K562 RNA以及3种不同起始量 (100 pg, 1 ng和10 ng)的 UHR RNA样本起始,使用SMART-Seq mRNA LP (with UMIs)构建测序文库,均做3个重复。然后进行测序,并使用CogentAP进行分析。结果显示,重复之间相关性系数非常高。即使起始量为10 pg时,也具有非常高的重现性!
• 灵敏度测试数据
对36例核酸含量较低的PBMC样本,使用SMART-Seq mRNA LP (with UMIs)制备文库,并进行测序分析。结果显示,通过基因表达谱分析确认了70%的PBMC是T细胞,这符合来自正常健康供体的PBMC预期比例。此外,还鉴定确认一个B细胞、一个NK细胞,一个单核细胞和两个树突状细胞,另有6个细胞无法明确类型。由此也说明SMART-Seq mRNA LP (with UMIs)在单细胞水平的RNA-Seq分析上具有高灵敏度。
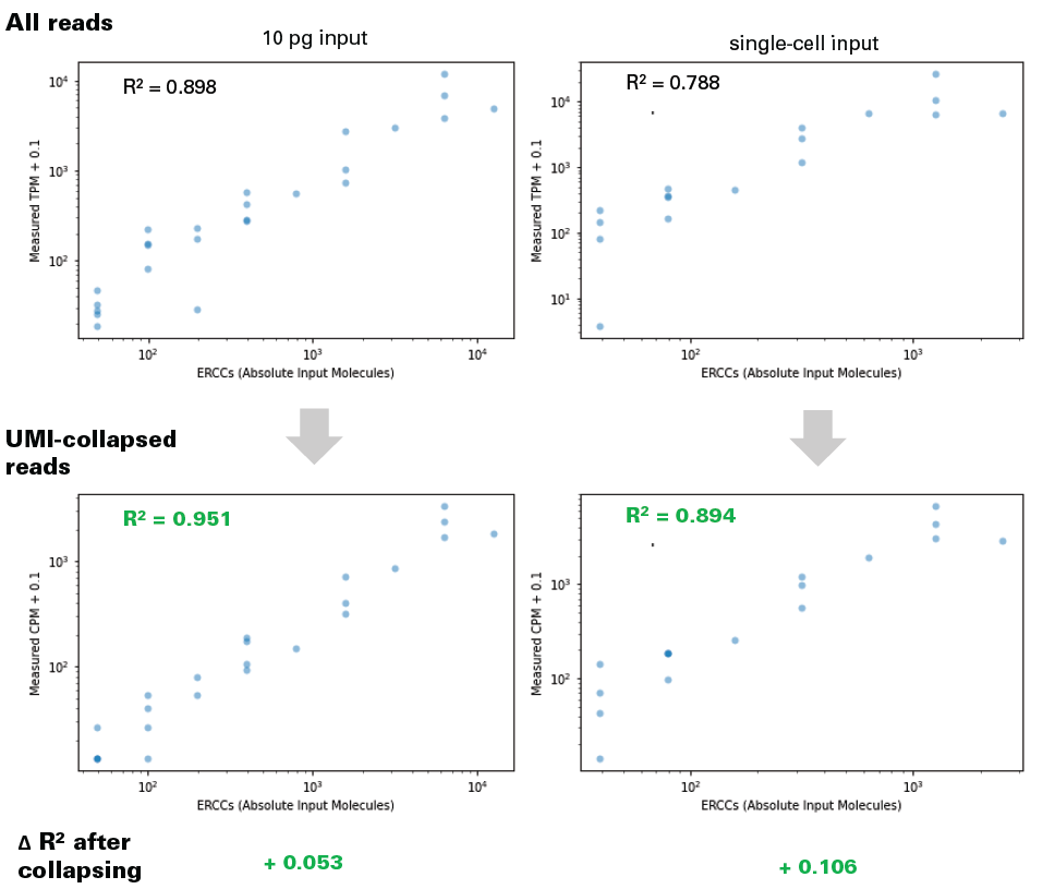
• 添加UMI校正偏差
分别对10 pg RNA和单个细胞获得的RNA样本,掺入ERCC control RNA后进行文库制备,然后进行测序分析。结果显示,添加UMI后,决定系数R2值明显提高,表明添加UMI降低PCR duplication,获得更准确的RNA counts。
• 兼容自动化平台
SMART-Seq mRNA LP (with UMIs)兼容多种自动化液体工作站进行微缩化建库。比如使用SMART-Seq mRNA LP (with UMIs)在Mantis Liquid Handler (Formulatrix)上将反应体系体积微缩至1/2(HV),1/4(QV)以及在mosquito HV liquid handler (SPT Labs)上将反应体系体积微缩至1/8,均能获得与使用原反应体系高度一致的结果。保证性能的同时,降低了成本和操作时间!
PS:另外还有两款新品,也值得关注哦!
• SMART-Seq mRNA LP:少量细胞/微量样本的mRNA-Seq文库构建试剂盒。它使用oligo(dT)引物起始,优化用于从10 pg-100 ng的高品质total RNA(RIN≥8)或1-1000个完整细胞起始,生成高质量的测序文库。
• SMART-Seq mRNA:少量细胞/微量样本的cDNA合成试剂盒。它可以用于Ultra low RNA(10 pg-100 ng)或少量细胞(1-1000个完整细胞)cDNA合成的试剂盒,提供全长转录本的信息。
|
Code No. |
产品名称 |
包装量 |
|
634762 |
SMART-Seq mRNA LP(with UMIs) |
24 Rxns |
|
634765 |
SMART-Seq mRNA LP(with UMIs) |
96 Rxns |
|
634766 |
SMART-Seq mRNA LP(with UMIs) |
4×96 Rxns |