
-
生物通官微
陪你抓住生命科技
跳动的脉搏
Odyssey In-Cell Western用于沙眼衣原体的定量和抗衣原体药物的筛选
【字体: 大 中 小 】 时间:2022年04月22日 来源:
编辑推荐:
在这篇文献中,作者详细描述了通过Odyssey CLx进行ICW检测,将其作为一个快速、更容易获得、高通量的平台,用于沙眼衣原体的定量和抗衣原体药物的筛选。
沙眼衣原体(Chlamydia trachomatis)是世界上贫困人群失明的主要传染性原因,同时也是发达国家主要的细菌性传播病原体之一,每年约有1.27亿新感染病例。
多年来,已经使用了几种方法来测定衣原体感染,例如细胞培养、直接免疫荧光测定、RT-PCR。目前推荐使用后者,因为它具有高灵敏度(>90%)、特异性(≥99%)和较短的时间。然而,核酸扩增测试的主要缺点之一是目标DNA被扩增而不区分源自活的或非活的衣原体DNA,迄今为止PCR检测尚未用于抗菌药物敏感性测试。
长期以来,细胞培养因其高特异性(100%)以及分离临床衣原体株的能力,被认为是衣原体耐药检测的“金标准”。然而,衣原体特有细胞内生长和长时间孵育的特点,以及要通过荧光显微镜观察衣原体包裹体在单层细胞中分布的可见性,限制了其在临床实验室中的常规应用。
为了克服这些困难,一种新颖而快速的方法已被提出用于病毒和细胞内细菌检测:基于近红外激光成像的In-Cell Western(ICW)检测。ICW检测是一种基于细胞的细胞内蛋白检测技术,由于其高准确性和可重复性,已广泛应用于细胞信号通路的定量分析。
在这篇文献中,作者详细描述了通过Odyssey CLx进行ICW检测,将其作为一个快速、更容易获得、高通量的平台,用于沙眼衣原体的定量和抗衣原体药物的筛选。
ICW法定量检测沙眼衣原体IFUs
为了评价用使用ICW法在Odyssey CLx仪器上检测沙眼衣原体浓度方面的性能,作者采用细胞培养DFA法(传统的测定衣原体滴度的方法)作为对照。结果如图1所示。从衣原体IFUs的计数和红霉素最小抑菌浓度(MIC)的测定结果来看,两种方法具有很高的一致性。ICW法是一种准确、简便的沙眼衣原体药敏检测方法。
图1 ICW法检测沙眼衣原体IFUs的标准曲线和DFA法检测沙眼衣原体IFUs
(A)标准聚苯乙烯细胞培养和光学透明底微孔板上感染衣原体细胞的近红外扫描图像;(B)标准聚苯乙烯细胞培养和透明底微孔板中衣原体感染细胞的信噪比;根据扣除背景(C)或无背景(D)的近红外吸光度数据,在光学透明底和标准微孔板上通过ICW法计算出沙眼衣原体IFU的标准曲线,与DFA法计数衣原体IFU相近;在(E)标准聚苯乙烯细胞培养微孔板或(F)透明底微孔板上进行对数转化后,ICW法测定标准曲线的线性回归模型。 **, p < 0.001;*, p < 0.05。
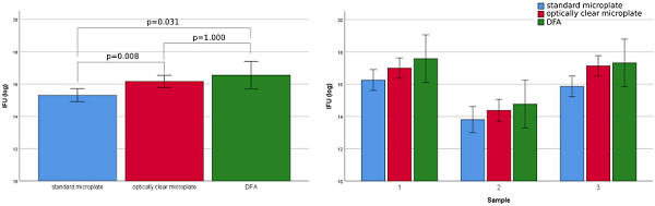
此外,客户通过ICW和DFA测定未知样品中沙眼衣原体的IFU值,结果显示标准微孔板和透明微孔板的ICW测量值(IFU/mL)低于低于DFA值(IFU/mL)(p = 0.031)。ICW测量在光学透明微板和DFA值之间没有显著差异(p=1.000)。
图2 在衣原体浓度未知的样品中,通过ICW和DFA测定沙眼衣原体IFU (IFU/mL)。 左边图显示了三个样本的边际均值,右面图显示了每个样本的平均值(和95% CI)。
ICW测定沙眼衣原体对红霉素的敏感性
为了评价ICW法作为一种筛选抗衣原体药物的新方法的性能,作者选择了红霉素作为推荐治疗沙眼衣原体感染的抗生素,并以DFA法作为比较。结果如图3所示,ICW法和DFA法能够测定MIC。DFA检测的MICTP为1/25,MIC值为1/24 μg/mL。ICW法检测的MIC值与DFA法相同,均为1/24 μg/mL。
图3 ICW法和DFA法检测沙眼衣原体对红霉素的敏感性
(A) ICW和DFA法测定衣原体IFU的近红外吸收值与红霉素浓度的关系; (B) 用MIC (0.063 μg/mL)和MICTP (0.0019 μg/mL)浓度对应的红霉素处理感染细胞和未处理细胞的单层免疫组织学染色
文章研究结果表明,ICW方法可以作为一种简单、经济、快速的替代DFA方法,用于衣原体包涵体的定量检测和抗衣原体药物的敏感性检测。尤其值得一提的是,ICW法具有很高的准确性,研究中观察到的衣原体定量标准曲线的低色散证明了这一点。此外,ICW法和DFA法在衣原体IFUs计数和红霉素MIC测定中具有非常高的一致性,且ICW法显著缩短了实验时间(约3小时)。
ICW作为美国LI-COR公司开发的一种在微孔板中进行的定量免疫荧光(IF)测定方法,已广泛应用到细胞自噬、凋亡、癌症、药物研究、信号转导、离子通道、基因表达、病毒学检测、细胞增值实验等研究生命科学研究的各个领域。基因有限公司作为LI-COR产品中国区代理商,提供全套ICW解决方案:
安捷伦细胞培养成像微孔板
底部超薄,带有底读检测功能,高分辨率成像,可广泛应用于ICW/高内涵成像/活细胞成像/显微成像及基于细胞培养的荧光和化学发光实验。
封闭液
LI-COR提供多种用于Odyssey成像系统的封闭缓冲液。Intercept基于非哺乳动物蛋白的封闭缓冲液(#927-60001,927-70001)经过优化,可与IRDye®产品和其他近红外荧光团配合使用。它们为定量蛋白质印迹和其他免疫测定提供出色的性能、低变异性和低背景。
CST IF一抗
ICW是在微孔板(优化为96孔或384孔格式)中进行的定量免疫荧光分析,推荐使用IF验证的一抗。CST致力于提供既能生成强大特异性信号、同时又尽可能降低本底的高特异性抗体,提供超过1000种可以用于ICW测定法的抗体。基因有限公司作为CST优质一级代理商,为您的实验提供更优的支持和帮助。
LI-COR IRDye近红外荧光二抗
RDye系列近红外荧光染料已针对Odyssey ®系列成像系统进行了优化,具有亮度高、光稳定性好等特点。此外IRDye系列近红外荧光染料发射光谱窄,预先经过高交联吸附处理,具有极高的信噪比,交叉反应已降到最低,使其适用于多色检测。
CellTag™ Stain
作为ICW Assay均一化的解决方案,CellTag染色剂在透化细胞的细胞核和细胞质中积累,并在各种细胞类型和细胞数量中提供线性荧光信号。这种方法既快速又简单,同时可以与二抗孵育相结合。
Empiria Studio软件
与Nature等顶级期刊杂志合作开发:强大的验证、分析和报告功能完美的满足期刊杂志对高质量数据(从原始图像获取到重复性分析)的所有要求。
基因有限公司作为LICOR产品中国区代理商,为您提供专业的近红外成像技术在Western Blot、In-Cell Western、双色EMSA、活体成像等方面的解决方案,提供更多应用咨询及技术支持。进一步了解更多详细内容,请关注我们的官方微信“基因快讯”或联系您身边的基因有限公司工作人员。
参考文献
Simone F., et.al.(2021). In-cell western assay as a high-throughput approach for Chlamydia trachomatis quantification and susceptibility testing to antimicrobials. PLoS One. 2021; 16(5): e0251075. PMID: 33974662