
-
生物通官微
陪你抓住生命科技
跳动的脉搏
我国学者发现高压下液氮温区镍氧化物超导体
【字体: 大 中 小 】 时间:2023年11月04日 来源:国家自然科学基金委员会
编辑推荐:
研究成果以“高压下镍氧化物中80 K超导电性的实验迹象(Signatures of superconductivity near 80 K in a nickelate under high pressure)”为题,于2023年7月12日发表在《自然》(Nature)杂志上
| |
![]() |
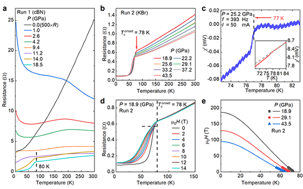
图(a)常压及压力下La3Ni2O7的电输运特性。在14 GPa以上及80 K以下,电阻出现明显下降。(b)使用KBr作为传压介质测量的压力下的电输运特性。(c)压力下的抗磁性测量。小图中为原始数据,虚线为线性抗磁背底。(d)压力为18.9 GPa时,不同磁场下的电输运特性。(e)利用金兹堡-朗道方程拟合的超导电性上临界磁场
在国家自然科学基金(批准号:12174454)等资助下,中山大学物理学院王猛教授研究组和姚道新研究组、清华大学张广铭教授研究组、以及华南理工大学和中国科学院物理研究所等研究人员合作,在高压下发现镍氧化物La3Ni2O7单晶中具有超导电性,其超导转变温度为约80 K,达到液氮温区。研究成果以“高压下镍氧化物中80 K超导电性的实验迹象(Signatures of superconductivity near 80 K in a nickelate under high pressure)”为题,于2023年7月12日发表在《自然》(Nature)杂志上。文章链接:https://www.nature.com/articles/s41586-023-06408-7。
高温超导现象一直是凝聚态物理研究的重要课题之一。在长达一个世纪的超导研究中,科学家们一直期望寻找超导转变温度超过液氮温度(即77 K)以上的超导材料,进而推动高温超导材料的规模化应用,为人类的生产和生活带来革命性变化。到目前为止,只有部分掺杂铜氧超导体的转变温度超过了液氮温度,但是相关的基础研究也长期处于瓶颈阶段。因此,寻找新的突破液氮温区的超导材料,对揭示高温超导机理的普适规律和未来的应用研究都将具有积极推动作用。2019年,美国斯坦福大学的Harold Y. Hwang课题组发现了具有无限层结构的镍基氧化物薄膜具有超导电性,其转变温度约为15至25 K,掀开了镍基超导体研究的热潮。但是,镍基超导体的实验研究都聚焦在薄膜材料中,其超导转变温度也没有超过麦克米兰极限,为深入研究其超导机理带来了困扰。
在本工作中,研究团队利用高压浮区炉生长了镍氧化物La3Ni2O7单晶,与华南理工大学、中国科学院物理研究所综合极端条件实验装置、北京同步辐射装置等合作开展了系列高压实验,发现了该单晶在约14 GPa的高压下出现超导电性的迹象,其转变温度达到约80 K,超过了液氮温度。研究团队进一步利用密度泛函理论对超导转变前后的电子能带结构进行了计算,发现La3Ni2O7中独特的双NiO层的电子结构对其物理性质起到决定性作用。他们发现在低压下主要是Ni的
轨道穿过费米面。随着压力增加,
轨道上移穿越费米面,使得La3Ni2O7成为一个多轨道电子系统,而
轨道可能扮演重要角色。
该研究工作发现了一类具有超导电性的镍氧化物,其高压下转变温度超过液氮温度,使其成为继铜氧化物超导体之外的第二个达到液氮温区的非常规超导体。未来,通过进一步实验证实,该体系有望与铜氧化物、铁基超导体等进行系统对比,揭示决定高温超导的关键因素,推动高温超导机理的研究,指导人们设计、合成其它具有高转变温度的超导材料。