
-
生物通官微
陪你抓住生命科技
跳动的脉搏
我院陈仁杰课题组合作研究发现短期空气污染暴露可以迅速引起心律失常急性发作
【字体: 大 中 小 】 时间:2023年05月05日 来源:复旦大学公共卫生学院
编辑推荐:
(供稿 薛晓薇) 近日,复旦大学公共卫生学院陈仁杰教授课题组在我国322个城市开展了一项空气污染与心律失常的流行病学研究,相关成果以“Hourly air pollution exposure and the onset of symptomatic arrhythmia: an individual–level case–crossover study in 322 Chinese cities”为题发表于著名综合性医学期刊《Canadian Medical Association Journal》
(供稿 薛晓薇)
近日,复旦大学公共卫生学院陈仁杰教授课题组在我国322个城市开展了一项空气污染与心律失常的流行病学研究,相关成果以“Hourly air pollution exposure and the onset of symptomatic arrhythmia: an individual–level case–crossover study in 322 Chinese cities”为题发表于著名综合性医学期刊《Canadian Medical Association Journal》。
心律失常是由心脏搏动的起源或传导发生紊乱导致的,其通常突然发生,可导致严重的心血管疾病如心力衰竭、急性心肌梗死、脑中风。空气污染是心血管疾病重要的可修正危险因素,由于人群普遍暴露于空气污染,因此空气污染相关心血管疾病负担较高。已有一些流行病学研究探索了短期暴露于空气污染对心律失常的影响,但结论不尽一致。既往研究大多采用了生态学的时间序列设计,结果不利于因果推断,而且尚不清楚小时水平空气污染暴露能否引起心律失常的急性发作。此外,尚无多中心研究系统地讨论不同空气污染物与各种心律失常亚型急性发作的关系。
为此,课题组利用中国心血管健康联盟胸痛中心数据库开展了联合研究,纳入了2015年1月1日至2021年12月31日期间因胸部不适进入胸痛中心就诊,并被诊断为各类心律失常的患者。本研究排除了没有报告症状发作时间、由其他医院转诊入院或同一个月内多次入院的心律失常患者。根据每个心律失常病人自报的症状急性发作时间(小时水平),匹配距离医院最近的环境空气质量实时监测数据,包括细颗粒物(PM2.5)、粗颗粒物(PM2.5-10)、二氧化氮(NO2)、二氧化硫(SO2)、一氧化碳(CO)、臭氧等6种污染物。为减少暴露测量误差,本研究还排除了医院距离环境空气监测站50公里以上的患者。本研究最终纳入全国322个城市2025家医院共19万名心律失常患者(图1),其中房颤患者96133名、房扑患者5300名、早搏(包括房性和室性)患者41613名、室上性心动过速患者47069名。本研究采用时间分层的病例交叉设计,探索6种空气污染物小时水平暴露与4种心律失常亚型急性发作之间的关系,可自动控制不随时间变化的个体混杂因素。

图1. 我国2025家医院的分布地图
研究发现,多种空气污染物短期暴露能迅速引起心律失常症状的急性发作,这种风险发生在暴露后的最初几小时内,并能够持续大约24小时。在暴露当天(0-24小时内),PM2.5、NO2、SO2和CO浓度每升高一个四分位间距,房颤发作风险增加1.7%-3.4%,房扑发作风险增加8.1%-11.4%,室上性心动过速发作风险增加3.4%-8.9%;PM2.5-10浓度每升高一个四分位距,房扑和室上性心动过速发作风险将分别增加8.7%和5.4%;臭氧短期暴露仅与室上性心动过速的发作风险增加显著相关(增加3.4%)。在6种污染物中,NO2对4种心律失常亚型的影响最强。房扑和室上性心动过速发作对空气污染暴露更敏感,其次是房颤和早搏(图2)。

图2. 在暴露当天(0-24小时),空气污染物浓度每升高一个四分位间距引起心律失常发作风险增加的百分比
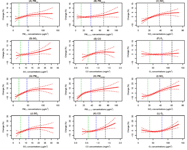
空气污染物与心律失常发作风险之间的暴露反应关系呈近似线性,且没有明显的浓度阈值(图3)。研究显示,即使是较低的空气污染水平,也可能会诱发心律失常急性发作,提示在空气污染水平较低的地区也应警惕空气污染暴露带来的心血管潜在危害。

图3. 空气污染物浓度(0-24小时)与房颤(A-F)和室上性心动过速(G-L)发作风险的暴露反应关系曲线
注:垂直虚线表示空气污染物的浓度节点(绿色:第25百分位数,蓝色:第75百分位数,黑色:第95百分位数)
分层分析结果显示,在男性或65岁以下的心律失常患者中,空气污染短期暴露对心律失常发作的影响更强;在北方地区和寒冷季节,空气污染的效应也更强。各个空气污染物的效应在控制其他共存大气污染物后基本不变。
综上,本研究基于有全国代表性的健康大数据,揭示了短期空气污染暴露可以迅速引起心律失常急性发作,为空气污染危害心血管健康增添了新的证据。研究结果凸显了空气污染是一个重要的全球公共卫生问题,应继续强化政策干预和公众健康教育。同时,研究结果也提示临床医生应将减少空气污染暴露纳入心律失常患者的临床防治指南中,从而为预防心律失常发作和相关疾病治疗、管理提供了新的方向。
复旦大学公共卫生学院2020级硕士生薛晓薇等人为该论文的第一作者,复旦大学公共卫生学院陈仁杰教授等人为该论文的通讯作者。该研究得到了国家自然科学基金(92043301)、国家重点研发计划(2022YFC3702701)、上海市科学技术委员会(21TQ015)和上海临床介入医学研究中心(19MC1910300)的资助。
文章链接:https://www.cmaj.ca/content/195/17/E601
文章引用:Xue X, Hu J, Xiang D, Li H, et al. Hourly air pollution exposure and the onset of symptomatic arrhythmia: an individual-level case–crossover study in 322 Chinese cities. Canadian Medical Association Journal 2023; 195(17): E601-E11.