
-
生物通官微
陪你抓住生命科技
跳动的脉搏
童年BMI轨迹的时序聚类分析揭示差异化成熟模式:基于芬兰北部1966和1986出生队列的研究
【字体: 大 中 小 】 时间:2025年01月23日 来源:International Journal of Obesity 4.2
编辑推荐:
本研究针对儿童BMI(Body Mass Index)轨迹的时序差异问题,通过分析芬兰北部1966和1986两代出生队列的纵向数据,首次识别出三种具有显著差异的BMI成熟模式(Type 1-3)。研究人员采用弹性相位距离(elastic phase distance)和k-medoids聚类方法,发现Type 2模式在早期队列中更普遍,提示世代间BMI成熟时序的演变规律。该成果为儿童肥胖风险评估提供了新的时序维度指标,发表于《International Journal of Obesity》。
儿童肥胖已成为全球公共卫生挑战,但传统研究多关注体重指数(BMI)的绝对水平,而忽略了其动态发展过程中的时序特征。事实上,两个同龄儿童的BMI可能处于完全不同的成熟阶段——就像两个同时种下的种子可能在不同时间开花。这种"生物年龄"与"时序年龄"的差异,使得仅凭单次BMI测量评估儿童肥胖风险存在显著局限性。芬兰奥卢大学(University of Oulu)的研究团队Anni Heiskala等人在《International Journal of Obesity》发表的研究,首次通过创新性的时序分析方法,揭示了童年BMI发展的三种基本模式,为理解肥胖发展的生物学机制提供了新视角。
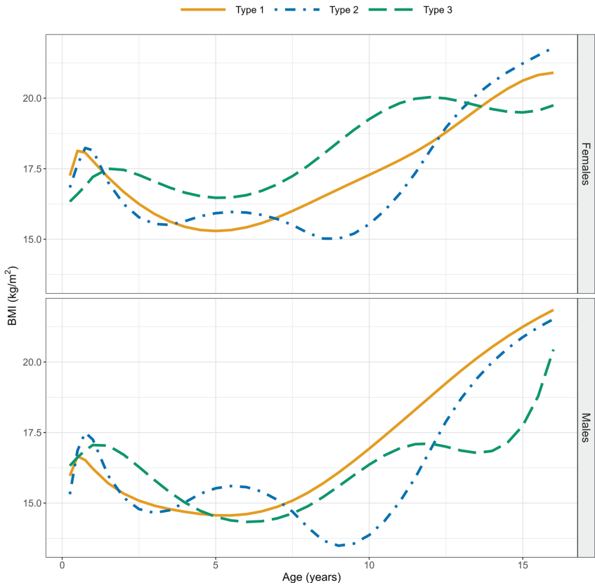
研究团队整合了芬兰北部1966(NFBC1966)和1986(NFBC1986)两代出生队列的纵向数据,共纳入6,162名儿童从3月龄至16岁的34个时间点的BMI测量值。关键技术包括:1)使用B样条(B-splines)插值法重构个体身高体重曲线;2)计算弹性相位距离(elastic phase distance)量化轨迹间的时序差异;3)采用k-medoids聚类识别具有相似成熟模式的亚组。
主要发现
三种BMI成熟模式
通过相位距离聚类分析,研究人员在男女儿童中均识别出三类显著不同的BMI轨迹:
Type 1(占比52.2%女性/52.8%男性):呈现经典"婴儿峰值-反弹点-持续上升"模式
Type 2(34.3%/30.8%):特征为4-9岁间的阶段性BMI上升
Type 3(13.5%/16.5%):表现为双峰型轨迹

世代差异特征
Type 2模式在NFBC1966队列中更常见(女性58.1% vs 41.9%),提示20年间芬兰儿童BMI成熟时序可能发生显著变化。
临床相关参数
Type 2群体表现出最陡峭的婴儿期斜率(infancy slope),其BMI从峰值到反弹点(adiposity rebound, AR)的下降持续时间最短(表3)。值得注意的是,81%的Type 3女性轨迹呈现双峰特征,与传统单峰模型形成鲜明对比(表4)。

结论与意义
该研究突破性地提出"BMI成熟时钟"概念,证实儿童BMI发展存在显著时序异质性。Type 2模式在工业化早期人群(NFBC1966)中的优势分布,暗示现代生活环境可能改变儿童脂肪组织发育的生物学程序。更重要的是,传统AR(adiposity rebound)定义在Type 2轨迹中面临挑战——其"低谷"特征而非明确拐点,提示现有肥胖预测模型需要引入时序维度修正。
这项研究为儿童肥胖风险评估提供了新的生物标志物框架:临床医生不仅需要关注BMI绝对值,还应考虑其发展轨迹的时序特征。未来研究可进一步探索这些模式与代谢疾病风险的关联,并为制定个性化的儿童肥胖干预策略提供理论依据。
生物通微信公众号
知名企业招聘