
-
生物通官微
陪你抓住生命科技
跳动的脉搏
探索虾青素和槲皮素缓解氯霉素诱导肝毒性的线粒体保护机制与基因调控作用
【字体: 大 中 小 】 时间:2025年10月01日 来源:Scientific Reports 3.9
编辑推荐:
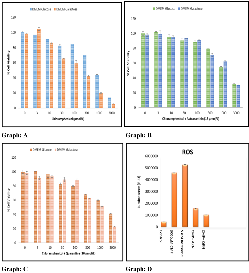
本刊推荐:为解决抗生素氯霉素(CAP)诱导的肝毒性问题,研究人员开展虾青素(AXN)和槲皮素(QRN)的联合治疗研究。结果表明,AXN(5–15μM)和QRN(10–30μM)可显著降低活性氧(ROS)水平(p<0.005)、恢复ATP生成并调控SOD2、UCP2等线粒体相关基因表达。该研究为药物性肝损伤(DILI)的抗氧化干预提供了新策略。


生物通微信公众号
知名企业招聘