
-
生物通官微
陪你抓住生命科技
跳动的脉搏
海洋与淡水蓝藻作为生物刺激剂提升小麦耐盐性的综合研究:形态生理、解剖及植物化学视角
【字体: 大 中 小 】 时间:2025年10月03日 来源:BMC Plant Biology 4.8
编辑推荐:
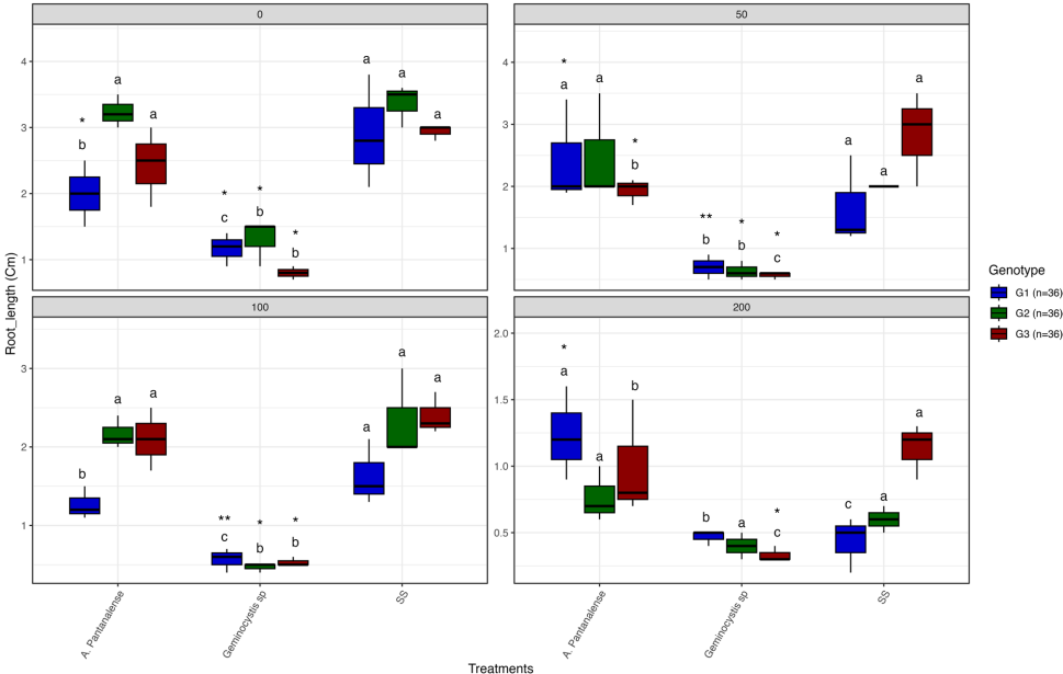
本研究针对盐胁迫这一全球性农业问题,探讨了淡水来源的Alkalinema pantanalense和海洋来源的Geminocystis sp.两种蓝藻提取物对三个小麦基因型的生物刺激效应。研究发现,A. pantanalense通过富含类黄酮和酚酸(如萜类、齐墩果酸)显著改善中度盐胁迫下(50-100 mM NaCl)的种子萌发和叶绿素含量,并促进根分生组织细胞增殖和维管分化;而Geminocystis sp.则凭借较高植物激素(如IAA、BA)含量增强高盐(200 mM)下的根干重和渗透调节能力。该研究为利用蓝藻生物刺激剂实现小麦可持续盐碱农业提供了菌株特异性策略。





生物通微信公众号
知名企业招聘