
-
生物通官微
陪你抓住生命科技
跳动的脉搏
城市路网地震韧性数据集:支持基础设施可视化与多灾害脆弱性评估的GIS资源
【字体: 大 中 小 】 时间:2025年10月04日 来源:Scientific Data 6.9
编辑推荐:
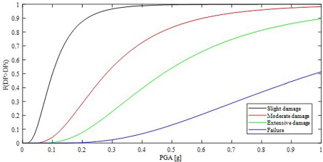
本数据集为解决城市基础设施系统在地震与地质灾害下的脆弱性评估难题,提供了意大利都灵与那不勒斯路网的多模态地理信息数据。研究整合了道路、建筑、桥梁的空间属性与地震滑坡参数,通过GIS平台与易损性曲线量化结构响应,为区域韧性分析、应急规划与多灾害风险建模提供了关键数据基础,支持SDI(空间数据基础设施)在灾前预防与灾后恢复中的决策应用。


生物通微信公众号
知名企业招聘