
-
生物通官微
陪你抓住生命科技
跳动的脉搏
言语流畅性双任务范式揭示增龄性认知-运动干扰的神经机制:一项针对步行表现的meta分析
【字体: 大 中 小 】 时间:2025年10月05日 来源:Experimental Brain Research 1.6
编辑推荐:
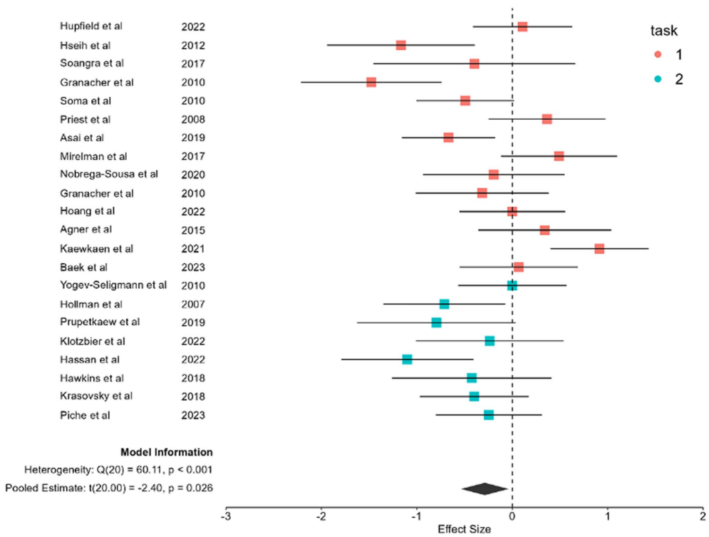
本刊推荐:为明确不同认知任务对双任务行走中步速影响的年龄差异及其神经机制,研究人员开展了针对年轻与老年成年人的meta分析。研究纳入22项研究,发现言语流畅性任务(而非连续减法任务)导致老年组步速下降更显著(Hedges' g = -0.4744),表明前额叶-小脑-基底节环路资源竞争是增龄性认知-运动干扰的核心机制,为针对执行功能的老年运动康复策略提供了理论依据。


生物通微信公众号
知名企业招聘