
-
生物通官微
陪你抓住生命科技
跳动的脉搏
前列腺癌治疗决策中的种族差异:黑人男性对预期寿命评估的独特认知模式
【字体: 大 中 小 】 时间:2025年10月08日 来源:Prostate Cancer and Prostatic Diseases 5.8
编辑推荐:
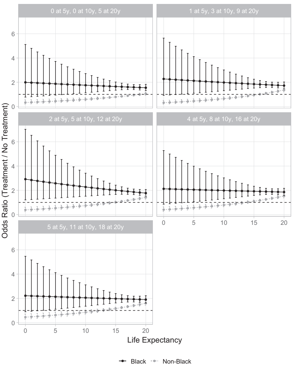
本刊推荐:为解决前列腺癌治疗中种族差异的机制问题,研究人员开展关于不同种族对预期寿命(LE)评估差异的主题研究。通过联合分析法对2046名男性进行分析,发现黑人男性在治疗选择中不受LE影响(OR=0.97,p=0.48),而西班牙裔男性仅在LE>10年时偏好积极治疗。该研究揭示了患者层面因素对治疗差异的影响,对推动文化适应性风险沟通策略具有重要意义。



生物通微信公众号
知名企业招聘