
-
生物通官微
陪你抓住生命科技
跳动的脉搏
基于血管造影径向壁应变评估颈动脉粥样斑块易损性:MRI验证研究揭示卒中预测新指标
【字体: 大 中 小 】 时间:2025年10月09日 来源:Scientific Reports 3.9
编辑推荐:
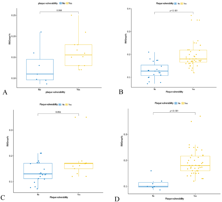
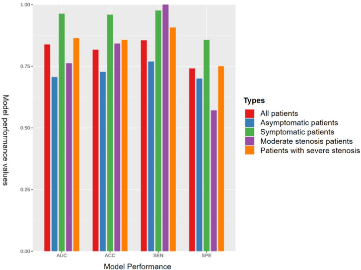
本研究针对颈动脉粥样硬化狭窄(CAS)易损斑块评估的临床难题,利用数字减影血管造影(DSA)衍生的径向壁应变(RWS)技术,结合高分辨率磁共振管壁成像(HR-VWI)验证,首次提出RWSmax≥14.9%可作为斑块易损性的精准判别阈值(AUC=0.838),为卒中风险分层和介入治疗策略优化提供了新型力学评估工具。




生物通微信公众号
知名企业招聘