
-
生物通官微
陪你抓住生命科技
跳动的脉搏
循环肿瘤DNA甲基化标记物定量与转移性胰腺癌肿瘤体积的相关性研究
【字体: 大 中 小 】 时间:2025年10月09日 来源:Scientific Reports 3.9
编辑推荐:
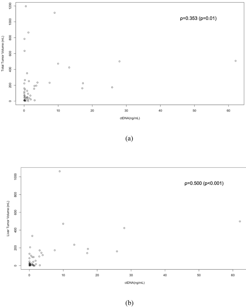
本期推荐:为解决转移性胰腺导管腺癌(mPDAC)中循环肿瘤DNA(ctDNA)检测率不足及与肿瘤负荷关系不明的问题,研究人员开展ctDNA甲基化标记(HOXD8/POU4F1)与三维肿瘤体积(TV)的相关性研究。结果显示ctDNA量与总TV(Spearman’s ρ=0.353)及肝转移TV(ρ=0.500)显著相关,肝转移TV阈值3.7 mL可预测ctDNA检出(敏感性85.1%)。该研究为mPDAC无创肿瘤负荷评估提供了新依据。



生物通微信公众号
知名企业招聘