
-
生物通官微
陪你抓住生命科技
跳动的脉搏
基于基线PET-CT引导靶向再活检的滤泡性淋巴瘤个体化治疗策略研究
【字体: 大 中 小 】 时间:2025年10月10日 来源:Annals of Hematology 2.4
编辑推荐:
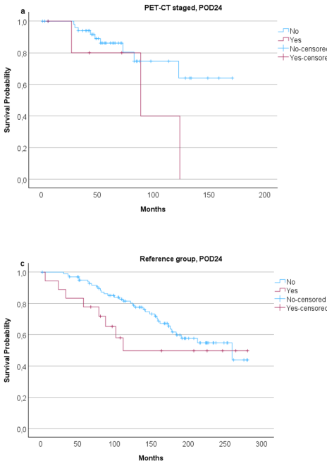
本研究针对滤泡性淋巴瘤(FL)患者早期进展(POD24)和病理学转化难以预测的临床难题,通过回顾性分析177例1-3a级FL患者的诊疗数据,发现诊断性PET-CT结合SUVmax≥10区域的靶向再活检能显著改善疾病进展时间(TTP)(p=0.038)。研究表明基线高SUVmax值与不良预后相关(p=0.016),且PET-CT分期组转化确诊时间较对照组显著提前(37.5月vs102月)。该研究为FL患者早期风险分层和个体化治疗提供了重要影像学依据。






生物通微信公众号
知名企业招聘