
-
生物通官微
陪你抓住生命科技
跳动的脉搏
阿联酋人群ASCVD风险预测新突破:PREVENT模型在阿拉伯男女中的外部验证研究
【字体: 大 中 小 】 时间:2025年10月11日 来源:BMC Cardiovascular Disorders 2.3
编辑推荐:
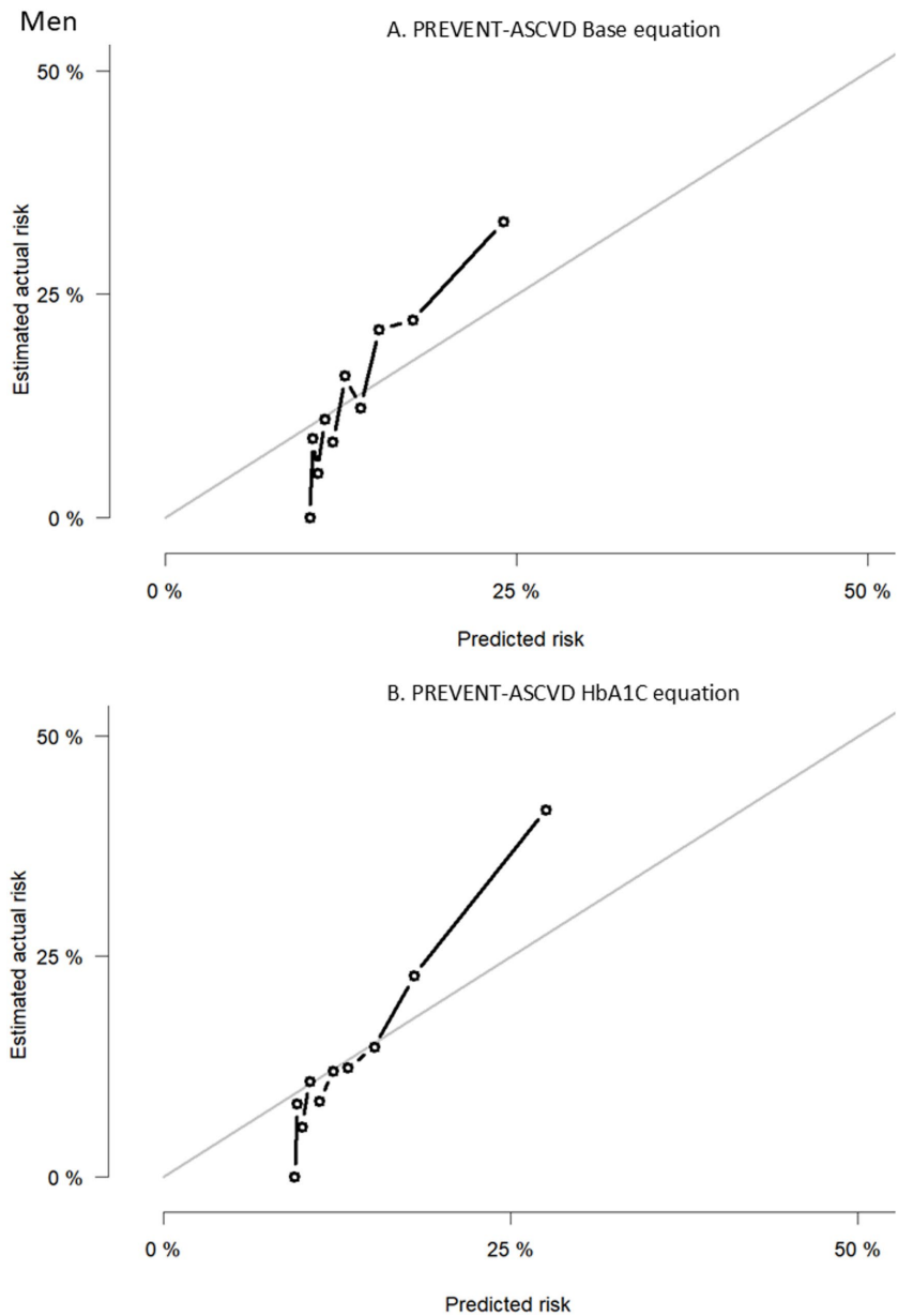
为解决美国心脏协会(AHA)PREVENT方程在阿拉伯人群中的适用性问题,研究人员开展了一项回顾性队列研究,验证其在阿联酋国民中预测动脉粥样硬化性心血管疾病(ASCVD)风险的表现。结果显示,该模型在女性中 discrimination(C-index: 0.81–0.82)和 calibration 表现良好,但在男性中需 recalibration。研究支持PREVENT模型在阿联酋CVD预防中的应用,尤其为女性风险分层提供了重要工具。


生物通微信公众号
知名企业招聘