
-
生物通官微
陪你抓住生命科技
跳动的脉搏
植物育种如何重塑根际微环境?Kernza选育周期中微生物群落与功能的演变规律
【字体: 大 中 小 】 时间:2025年10月12日 来源:Plant and Soil 4.1
编辑推荐:
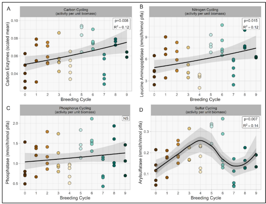
本研究针对植物育种对根际微环境的影响这一关键问题,通过分析从野生型到第9选育周期的Kernza根际土壤,发现选育过程显著降低了活性有机质(DOC、DON、PMN)和微生物生物量(PLFA),但提高了单位微生物的碳氮循环酶活性。结果表明育种塑造了"少而精"的根际微生物群落,为培育具有高效微生物互作能力的作物品种提供了理论依据。







生物通微信公众号
知名企业招聘