
-
生物通官微
陪你抓住生命科技
跳动的脉搏
第二代杂交杨树人工林疏伐对林分及优势木生长的影响:长期轮作下的生物量生产优化策略
【字体: 大 中 小 】 时间:2025年10月14日 来源:European Journal of Forest Research 2.7
编辑推荐:
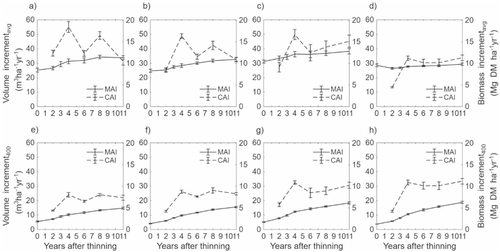
本研究针对第二代杂交杨树无性系OP42人工林长期生长动态不明的问题,通过设置4种疏伐强度(未疏伐6000株·ha-1、轻度疏伐3000株·ha-1、中度疏伐1100株·ha-1、重度疏伐550株·ha-1),开展为期11年的生长监测。结果表明,中度疏伐可使林分水平总生物量MAI(平均年增量)达38 m3·ha-1·yr-1(12.7 Mg DM·ha-1·yr-1),且优势木单株材积提升30%以上,为长轮作期杨树林分管理提供了关键阈值参数。




生物通微信公众号
知名企业招聘