
-
生物通官微
陪你抓住生命科技
跳动的脉搏
新辅助与辅助化疗对乳腺癌预后的真实世界影响:一项倾向评分匹配研究
《Scientific Reports》:Impact of neoadjuvant and adjuvant chemotherapy on breast cancer prognosis in a propensity score matched population
【字体: 大 中 小 】 时间:2025年10月17日 来源:Scientific Reports 3.9
编辑推荐:
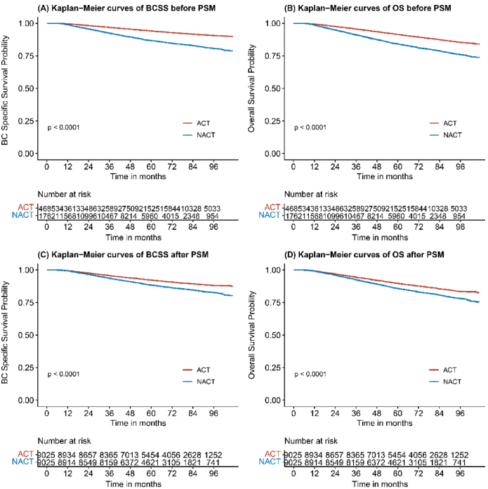
本研究基于SEER数据库,通过倾向评分匹配(PSM)分析46,447例乳腺癌患者数据,比较新辅助化疗(NACT)与辅助化疗(ACT)的疗效。结果显示,ACT组5年乳腺癌特异性生存率(BCSS)和总生存率(OS)均显著优于NACT组(BCSS: 92.2% vs 88.3%; OS: 89.6% vs 85.7%)。研究进一步构建列线图模型预测患者生存,为个体化治疗决策提供依据,挑战了NACT的临床优势传统认知。


生物通微信公众号
知名企业招聘