
-
生物通官微
陪你抓住生命科技
跳动的脉搏
糖尿病合并代谢相关脂肪肝与胃肠道癌症风险的全国性队列研究
《Scientific Reports》:Metabolic and alcohol-related steatotic liver disease and gastrointestinal cancer risk in diabetes
【字体: 大 中 小 】 时间:2025年10月25日 来源:Scientific Reports 3.9
编辑推荐:
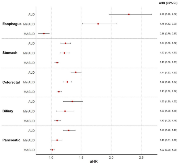
本刊推荐:为明确糖尿病(DM)人群中不同亚型脂肪肝(SLD)与胃肠道(GI)癌症风险的关系,研究人员基于韩国国民健康保险服务(NHIS)数据库,对2,616,828名糖尿病患者开展了一项全国性队列研究。结果显示,代谢功能障碍相关脂肪肝病(MASLD)显著增加胃、结直肠和胆道癌症风险(aHR分别为1.10、1.13、1.10),但降低食管癌风险(aHR 0.88)。脂肪肝指数(FLI)与胃肠道癌症风险呈正相关,尤其在非/轻度饮酒者中显著。本研究首次在糖尿病人群中系统阐明MASLD新分类与多部位胃肠道癌症的关联,为高危人群的癌症筛查提供重要依据。


生物通微信公众号
知名企业招聘