
-
生物通官微
陪你抓住生命科技
跳动的脉搏
2018–2024年美国枪支杀人案件的趋势与差异
《Journal of General Internal Medicine》:Trends and Disparities in Firearm Homicides in the USA, 2018–2024
【字体: 大 中 小 】 时间:2025年11月21日 来源:Journal of General Internal Medicine 4.2
编辑推荐:
美国枪支凶杀率疫情期间激增后回落,种族差异扩大需针对性干预。
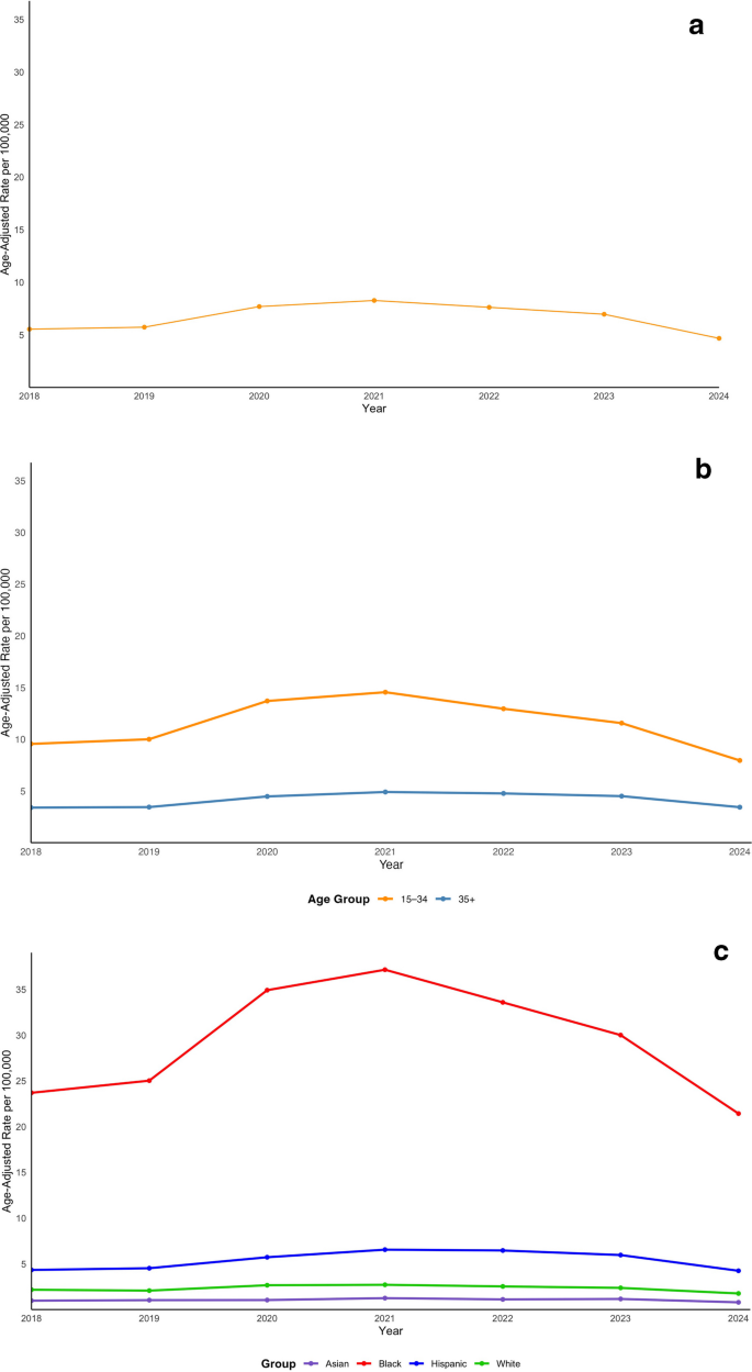
2018年至2024年间,美国发生了115,631起枪支杀人案,相应的AAMR为每10万人6.6例(95%置信区间6.6, 6.7)(表1)。趋势分析显示,枪支杀人案数量先急剧上升,随后下降。2018年至2021年间,枪支杀人案每年增加17.9%,2021年至2024年间每年减少14.5%(图1)。
2018–2024年的枪支杀人案死亡率。该图显示了2018年至2024年间美国成年人中每10万人的年龄调整枪支杀人率。A 总人口中的死亡人数。B 按年龄组划分的死亡率。C 按种族和民族划分的死亡率。
按种族和民族划分,新罕布什尔州白人和黑人的转折点出现在2021年。2018年至2021年间,新罕布什尔州白人的枪支杀人案每年增加10.6%,黑人每年增加19.5%。2021年至2024年间,白人和黑人的死亡率分别每年下降11.5%和15.8%。新罕布什尔州亚裔美国人和西班牙裔美国人的转折点出现在2022年。2018年至2022年间,亚裔美国人的枪支杀人案每年增加6.1%,西班牙裔美国人每年增加12.8%。2022年至2024年间,这两组人的死亡率分别每年下降15.8%和20.3%。
按年龄划分,15至34岁的年轻人的枪支杀人案从2018年至2021年每年增加18.4%。2021年这一趋势发生逆转,2021年至2024年间这一年龄段的死亡人数每年减少17.1%。35岁及以上的中老年人的转折点出现在2022年;2018年至2022年间,这一年龄段的枪支杀人案每年增加11.4%,2022年至2024年间每年减少17.0%。
在整个研究期间,种族和民族间的差异仍然存在。新罕布什尔州黑人与白人之间的AAMR比率从2018年的10.9(95%置信区间10.9, 11.0)上升到2024年的12.2(95%置信区间12.1, 12.2)。相比之下,新罕布什尔州白人与其他群体之间的相对差异相对稳定。
在COVID-19大流行期间,枪支杀人案有所增加——尤其是在黑人和年轻人中——但此后总体人口和大多数子组的死亡率已降至大流行前的水平以下。这种下降可能反映了导致2018年至2021年急剧上升的广泛社会动荡的缓解。2除了社会状况改善外,成功的本地努力,如暴力干预和基于社区的就业计划,也有助于减少枪支暴力。7
尽管有这些积极趋势,但仍然存在显著差异。特别是,自大流行前以来,黑人和白人之间的枪支杀人案相对差异进一步扩大,表明从COVID-19相关动荡中的恢复情况不平等。结构性不平等——如经济不稳定和获得支持服务的机会有限——可能是造成这种差距的原因。解决这些差异需要针对社区暴力预防、经济机会以及公平获取健康和社会服务进行有针对性的投资。