
-
生物通官微
陪你抓住生命科技
跳动的脉搏
网络博弈中的局部相关性与聚类效应:理论与应用研究
《Network Science》:Network games with local correlation and clustering
【字体: 大 中 小 】 时间:2025年12月13日 来源:Network Science 1.5
编辑推荐:
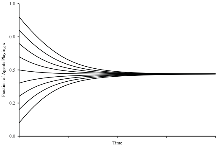
本文针对传统网络博弈模型忽略行动局部相关性的局限,提出了一种融入局部相关策略与网络聚类结构的新型分析框架。通过构建条件独立邻居假设下的微分方程系统,研究发现:在战略互补博弈中,局部相关性扩大了社会最优均衡的吸引域;在战略替代博弈中,聚类结构可减少公共品供给者数量。该模型为技术扩散、公共品供给等社会经济现象提供了更精准的预测工具。



生物通微信公众号
知名企业招聘