
-
生物通官微
陪你抓住生命科技
跳动的脉搏
老年患者依托咪酯麻醉诱导期间瑞芬太尼靶控输注抑制气管插管反应的效应室浓度探索研究
【字体: 大 中 小 】 时间:2025年02月14日 来源:BMC Anesthesiology
编辑推荐:
本研究针对老年患者麻醉诱导期气管插管引发的血流动力学波动问题,通过靶控输注(TCI)技术探索瑞芬太尼(remifentanil)联合依托咪酯(etomidate)的最佳效应室浓度(Ce)。研究团队采用改良Dixon序贯法确定抑制插管反应的EC50(6.53 ng/ml)和EC95(8.05 ng/ml),证实该方案可有效维持老年患者血流动力学稳定,为临床麻醉管理提供精准用药依据。
随着全球老龄化进程加速,接受择期手术的老年患者数量持续增长。这类患者常合并高血压、动脉粥样硬化等基础疾病,而麻醉诱导期的气管插管操作会激活交感神经系统,导致血压骤升、心律失常等血流动力学波动。更棘手的是,老年患者对麻醉药物敏感性增高,传统方案易引发低血压,增加心肌损伤、缺血性卒中等严重并发症风险。如何精准控制麻醉药物剂量,在抑制插管反应与避免低血压之间取得平衡,成为临床麻醉的关键挑战。
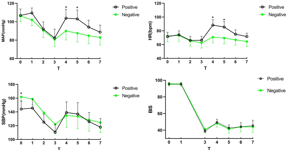
北京大学深圳医院麻醉科的研究团队在《BMC Anesthesiology》发表了一项创新研究。他们采用靶控输注(Target-Controlled Infusion, TCI)技术,基于Minto药代动力学模型,精确调控瑞芬太尼的效应室浓度(effect-site concentration, Ce),联合依托咪酯进行麻醉诱导,系统评估了抑制老年患者气管插管反应的最佳药物浓度。研究纳入25例65岁以上患者,通过改良Dixon序贯法确定阳性反应标准(插管后3分钟内平均动脉压MAP或心率HR较基线升高20%),并采用概率单位法计算有效浓度。
研究主要采用三项关键技术:1)靶控输注系统精确调控瑞芬太尼浓度;2)连续有创动脉血压监测(IBP)实时记录血流动力学变化;3)双盲序贯设计消除主观偏倚。所有患者接受标准化麻醉方案:瑞芬太尼TCI联合依托咪酯(0.3 mg/kg)和罗库溴铵(0.6 mg/kg)诱导,5分钟后行气管插管。
研究结果部分呈现多项重要发现:
剂量反应曲线:通过概率分析建立的剂量反应曲线显示,瑞芬太尼抑制插管反应的EC50为6.53 ng/ml(95%CI:6.01-7.05 ng/ml),EC95为8.05 ng/ml(95%CI:7.32-8.78 ng/ml)。

血流动力学对比:阳性反应组(n=12)的ΔMAP、ΔHR变化幅度显著高于阴性组(n=13),MAP平均升高13.63%,HR升高34.41%(P<0.01)。

安全性表现:所有患者均未出现低氧血症、肌颤、胸壁强直等不良反应,依托咪酯的稳定心血管特性有效避免了瑞芬太尼相关低血压。
时序优化:研究证实瑞芬太尼需持续输注5分钟达到血-效应室平衡,该发现为临床操作时序提供重要参考。
讨论部分强调,该研究首次明确了老年患者瑞芬太尼-依托咪酯联合方案的精准浓度窗口。相较于既往成人研究(EC50 7.731 ng/ml),老年群体所需浓度降低1.2 ng/ml,印证了年龄相关的阿片类药物敏感性增高现象。采用TCI技术可避免传统推注法的浓度波动,结合依托咪酯的心血管稳定性,形成"双保险"机制:既抑制插管反应,又防范诱导期低血压。研究特别指出,老年患者血压波动更显著,阳性反应组MAP变化幅度达13.63%,凸显精准给药的必要性。
这项研究为老年患者麻醉诱导提供了循证医学依据,其创新性体现在三个方面:1)建立年龄特异性的药物浓度参数;2)验证TCI技术在老年麻醉中的优势;3)优化给药时序方案。未来研究可拓展至超高龄(>80岁)或合并多种用药的复杂病例,进一步验证该方案的普适性。北京大学深圳医院团队的工作,为提升老年患者围术期安全性作出了重要贡献。
生物通微信公众号
知名企业招聘