
-
生物通官微
陪你抓住生命科技
跳动的脉搏
锥形束CT影像中放射形态计量指标与绝经后女性骨密度的相关性研究:一种新型骨质疏松筛查方法的探索
【字体: 大 中 小 】 时间:2025年06月06日 来源:BMC Medical Imaging 2.9
编辑推荐:
本研究针对绝经后女性骨质疏松筛查的临床需求,通过分析71例患者的锥形束CT(CBCT)影像与双能X线吸收测定法(DXA)数据,首次系统评估了CTMI、CTI(S)、CTI(I)和CTTCI等放射形态计量指标与骨密度的相关性。结果显示,CBCT指标尤其是前下颌角区域的CTMI指数与DXA T值显著相关(p<0.001),神经网络模型诊断准确率达75%,为口腔诊疗中实现无创、低成本的骨质疏松早期筛查提供了新思路。
骨质疏松被称为"沉默的流行病",全球约50%绝经后女性会遭遇骨质疏松性骨折。虽然双能X线吸收测定法(DXA)是诊断金标准,但其高昂成本限制了普及应用。有趣的是,口腔颌面骨骼与全身骨骼具有相似的代谢特性,这促使研究者思考:常规牙科检查中广泛使用的锥形束CT(CBCT),能否成为骨质疏松筛查的新窗口?
哈马丹医科大学口腔颌面放射科的研究团队开展了这项开创性研究。他们招募71名50-79岁绝经后女性,在排除影响骨代谢的全身性疾病后,采用Cranex 3D系统获取CBCT影像,测量心理孔和前下颌角区域的CTMI(计算机断层下颌指数)、CTI(S)(上计算机断层指数)、CTI(I)(下计算机断层指数)和CTCI(计算机断层皮质指数)四大指标。所有患者同期接受DXA腰椎和股骨颈扫描,通过多层感知器(MLP)神经网络模型分析CBCT指标与骨密度的关联性。
关键技术方法包括:1)使用OnDemand3D Dental软件测量放射形态计量指标;2)按ISCD指南进行DXA扫描和T值分类;3)采用ICC>0.85保证测量可靠性;4)构建含4个隐藏神经元的MLP模型进行诊断效能评估。
主要结果
患者特征与分组
基于股骨颈T值分组显示:正常38例、骨量减少32例、骨质疏松1例;腰椎T值分组则检出11例骨质疏松患者。这种差异提示不同部位DXA扫描结果的异质性。
指标差异分析
所有CBCT指标在正常与骨质疏松组间均存在显著差异(p<0.05),其中前下颌角区CTMI差异最显著(正常组3.54 mm vs 骨质疏松组2.60 mm)。

相关性研究
Pearson分析显示:心理孔区CTMI与腰椎T值相关性最强(r=0.470),前下颌角区CTMI与股骨颈T值相关性显著(r=0.351)。
诊断效能
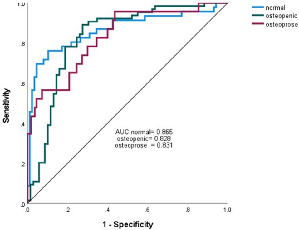
MLP模型总体准确率达75%,前下颌角区CTCI和心理孔区CTMI被识别为最重要的预测变量。ROC曲线显示所有AUC>0.7,证实模型具有良好的区分能力。

这项研究首次系统证实:CBCT放射形态计量指标与DXA骨密度存在显著关联,特别是前下颌角区CTMI指数对骨质疏松诊断最具价值。该发现具有双重临床意义:一方面为种植牙患者提供了"一站式"骨密度评估方案,避免额外检查;另一方面开辟了口腔影像学在全身骨质疏松筛查中的新应用场景。研究创新性地引入机器学习算法,为开发自动化诊断工具奠定了基础。
值得注意的是,研究也发现CBCT对骨量减少的敏感性有限,这提示其更适合作为高风险人群的初筛工具而非确诊手段。未来研究需扩大样本量并建立标准化测量协议,以推动CBCT指标纳入骨质疏松诊疗指南。

生物通微信公众号
知名企业招聘