
-
生物通官微
陪你抓住生命科技
跳动的脉搏
综述:探索生活方式中断对儿童和青少年体能的影响:一项系统性范围综述
【字体: 大 中 小 】 时间:2025年06月08日 来源:Sports Medicine - Open 4.1
编辑推荐:
这篇综述系统评估了COVID-19封锁、学校假期和训练中断(detraining)对4-18岁青少年体能(如心肺适能CRF、肌肉力量MS、爆发力EXP等)的影响,揭示了CRF显著下降(尤其青春期人群),而MS相对稳定,为制定青少年健康干预策略提供了关键证据。
全球COVID-19疫情引发的封锁政策对青少年结构化生活方式造成前所未有的冲击。Godber和Atkins将此类中断分为四类:社交生活、学习、运动行为(如体育活动PA、久坐行为SB)和生计。除疫情外,学校假期(如暑假)和训练中断(系统性训练暂停)同样构成典型中断场景。体能(Physical Fitness)作为健康预测指标,包含心肺适能(CRF)、肌肉力量(MS)、爆发力(EXP)、速度、敏捷性等维度,但其在中断期间的演变规律尚未明确。
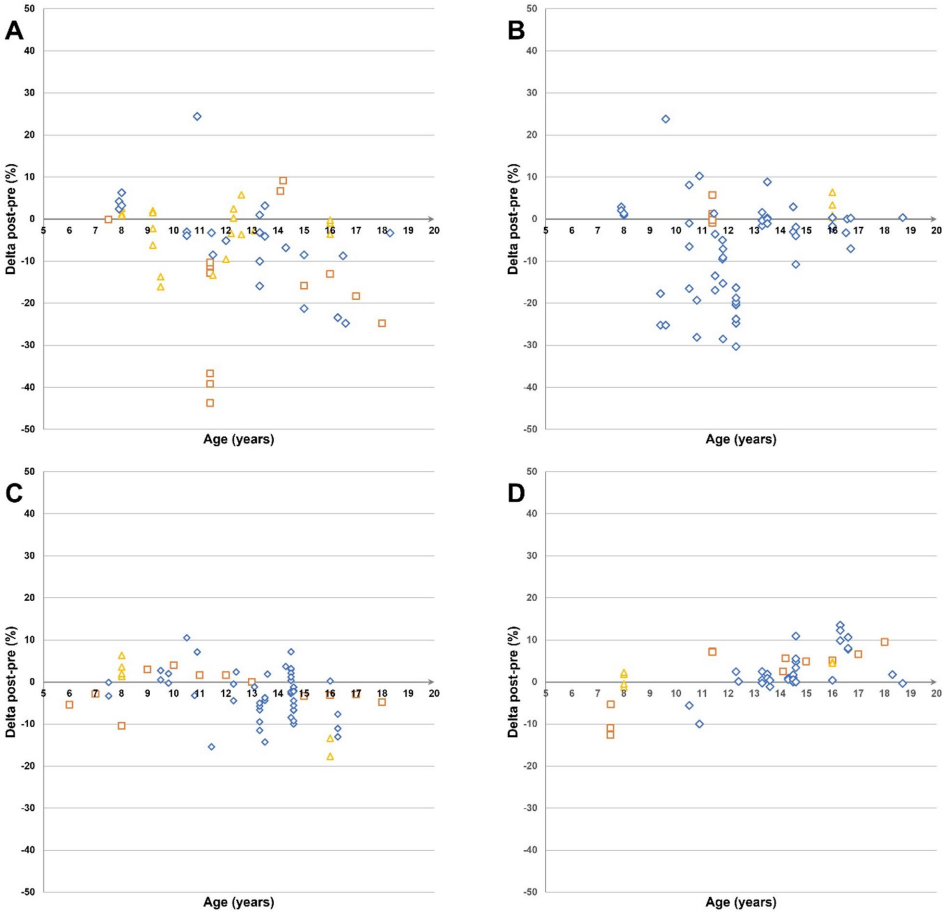
通过PubMed和ScienceDirect数据库检索至2024年5月的文献,纳入60项纵向研究(含8项封锁、16项假期、36项训练中断研究),采用PRISMA框架和NIH工具评估质量。通过SWiM指南进行叙事分析,将395个数据点按体能组分和中断类型分类,以交通灯图示(红/黄/绿表示下降/稳定/上升)可视化结果。
1. 封锁的影响

2. 假期的影响
3. 训练中断的影响

关键发现
局限与展望
测试方法异质性(如32种MS评估工具)和健康行为(PA/SB/睡眠)监测缺失是主要局限。未来需聚焦女孩群体,并探索中断后长期健康结局。
生活方式中断对青少年体能的影响具有组分和年龄特异性。CRF需优先干预,尤其是青春期人群;而MS的自然生长代偿机制可被纳入康复计划。制定“中断适应性”运动指南,将是维护青少年健康的关键突破点。
生物通微信公众号
知名企业招聘