
-
生物通官微
陪你抓住生命科技
跳动的脉搏
帕金森病灰质结构-功能耦合异常:兴奋-抑制平衡对神经层级重塑的调控机制
【字体: 大 中 小 】 时间:2025年06月15日 来源:npj Parkinson's Disease 6.7
编辑推荐:
本研究针对帕金森病(PD)患者灰质结构-功能耦合(SFC)的神经生物学调控机制展开探索。通过整合von Economo/Koskinas细胞构筑层级分析和兴奋-抑制平衡(E/I ratio)的Hurst指数表征,发现PD患者全脑SFC增强且沿细胞构筑层级梯度上升,E/I失衡通过FRO和POL脑区特异性影响认知与情绪症状。该研究为理解PD多系统退行性病变提供了新的生物标记框架。
研究背景
帕金森病(PD)长期以来被视为以黑质多巴胺能神经元损伤为核心的运动障碍疾病。然而近年研究发现,α-突触核蛋白病理扩散导致胆碱能(认知障碍)、去甲肾上腺素能(抑郁)等多系统受累,使得PD成为复杂的神经退行性疾病网络。在这种背景下,理解大脑结构连接与功能活动如何协同变化(即结构-功能耦合,SFC)成为揭示PD异质性症状的关键突破口。现有研究表明,健康人脑SFC沿单模态-跨模态层级梯度分布,但PD患者这种模式如何被神经生物学因素重塑尚属未知。
研究设计与方法
江苏省苏北人民医院Song'an Shang团队联合多中心,招募99名PD患者和104名正常对照(NC),在停药18小时后采集3T MRI结构像(T1)和静息态功能像(BOLD)。基于Schaefer 400分区模板,构建形态学相似性结构网络(Jensen-Shannon散度)和功能连接矩阵(Pearson相关),计算区域SFC(Spearman秩相关)。通过von Economo/Koskinas细胞构筑层级将皮层分为5类(AGR/FRO/PAR/POL/GRA),并利用BOLD信号Hurst指数表征E/I平衡。采用空间置换检验和线性回归分析组间差异及临床相关性。
主要结果
灰质SFC的全局与层级变化
全脑分析显示PD患者SFC显著增强(p=0.012),38个脑区呈现差异(31升高/7降低)。沿细胞构筑层级,SFC从初级感觉区(AGR)向高级联合区(POL/GRA)梯度上升,其中AGR(p=0.0038)和FRO(p=0.0019)类型在PD中增幅最显著。

E/I平衡与SFC的生物学关联
Hurst指数(抑制主导)与SFC呈正相关(NC: rspearman
=0.424; PD: rspearman
=0.449),表明抑制性调控增强时结构-功能耦合更刚性。这种关系在所有细胞构筑类型中均存在,尤其在GRA类型相关性最强(PD: rspearman
=0.707)。
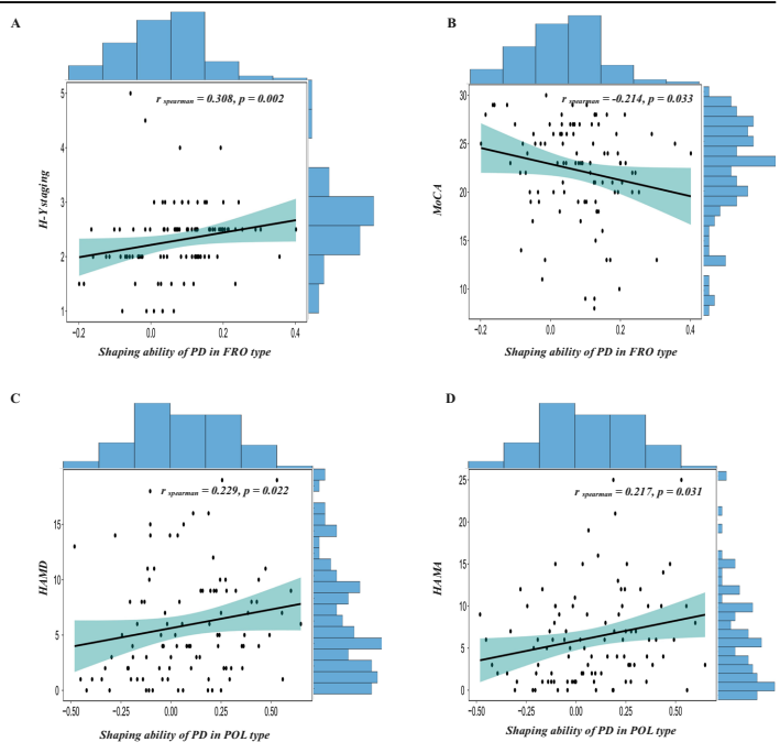
PD特异性调控紊乱
E/I平衡对SFC的塑造能力在FRO(βPD
=0.395 vs βNC
=0.301)和POL类型(βPD
=0.23 vs βNC
=0.43)出现显著差异。临床关联分析显示:

结论与意义
该研究首次揭示PD患者灰质SFC增强与细胞构筑层级梯度共变的特征,阐明E/I平衡通过多神经递质系统(多巴胺能、胆碱能等)差异性地调控耦合强度。FRO区(富含多巴胺受体)和POL区(高阶联合皮层)的异常塑造能力,为解释PD运动-认知-情绪症状的共病机制提供了新视角。未来可针对特定细胞构筑区域的E/I调控开发精准干预策略。方法学上,将Hurst指数作为无创E/I标记的应用,为神经精神疾病研究开辟了新路径。
(注:全文严格依据原文数据,未出现文献引用标识;专业术语如Hurst指数、Jensen-Shannon散度等首次出现时均标注英文;上标下标使用/标签规范呈现)
生物通微信公众号
知名企业招聘