
-
生物通官微
陪你抓住生命科技
跳动的脉搏
基于五长链非编码RNA特征的早期浸润性乳腺癌预后模型构建及临床验证
【字体: 大 中 小 】 时间:2025年06月26日 来源:Cancer Cell International 5.3
编辑推荐:
本研究针对现有分期方法对早期乳腺癌(EBC)术后复发风险预测不足的临床难题,通过分析转移性乳腺癌差异表达的12个lncRNA,利用LASSO Cox回归构建了包含CBR3-AS1、HNF4A-AS1等5个关键lncRNA的预后标志物。该标志物在400例患者队列中验证显示,高风险组5年无病生存率(DFS)显著低于低风险组(训练组61.1% vs 92.2%,验证组72.9% vs 85.4%),且独立于传统临床病理因素。研究创新性地将分子标志与临床参数整合为列线图模型,为EBC个体化治疗决策提供了新工具。
乳腺癌作为女性最常见的恶性肿瘤,早期诊断率虽高,但约20-30%的早期乳腺癌(EBC)患者术后仍会出现复发转移。目前临床主要依赖肿瘤分期、淋巴结转移等传统指标进行风险评估,但这些方法对生物学异质性显著的乳腺癌往往力不从心,既难以精准区分复发风险层级,也无法识别需要强化治疗的特殊亚群。这种临床困境呼唤着新型分子标志物的出现,而近年来备受关注的长链非编码RNA(lncRNA)因其在肿瘤进展中的调控作用,成为突破现有预后评估瓶颈的新希望。
云南肿瘤医院乳腺外科团队在《Cancer Cell International》发表的研究中,通过系统分析乳腺癌原发灶与肝转移组织的lncRNA表达谱,首次构建并验证了一个基于5个lncRNA的预后预测模型。这项研究创新性地将分子特征与传统临床参数整合,开发出具有显著临床转化价值的预后评估工具,为EBC患者的个体化治疗决策提供了重要依据。
研究采用多阶段设计,关键技术包括:(1)通过RNA-seq技术筛选3对原发灶-转移灶差异表达的12个lncRNA;(2)使用LASSO Cox回归从400例EBC患者(训练/验证队列各200例)中筛选出5个关键lncRNA;(3)qRT-PCR验证标志物表达;(4)构建包含临床病理因素的列线图模型。所有患者样本均来自2019年接受手术的EBC患者,严格排除转移病例。
研究结果
Construction of a tumor tissue LncRNA signature
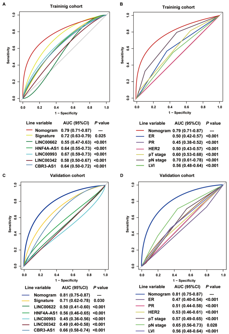
通过RNA-seq分析发现12个在转移灶中差异表达的lncRNA(6个上调和6个下调),LASSO回归最终筛选出CBR3-AS1、HNF4A-AS1、LINC00622、LINC00993和LINC00342这5个最具预后价值的lncRNA。风险评分(RS)公式为:RS=(2.286×HNF4A-AS1)-(0.690×LINC00622)+(2.813×CBR3-AS1)-(3.329×LINC00993)-(0.136×LINC00342)。
Evaluation of the RS formula
以0.91为cut-off值,训练队列高风险组5年DFS显著低于低风险组(61.1% vs 92.2%,HR=6.329),验证队列同样显示高风险组预后更差(72.9% vs 85.4%,HR=2.565)。多因素分析证实该标志物是独立预后因素(HR=3.584)。
Nomogram combined LncRNAs signature and clinical-related factors
整合5-lncRNA标志物与临床参数构建的列线图预测性能优异,训练组和验证组的AUC分别达0.79和0.81,显著优于单一临床指标。
结论与意义
该研究突破性地建立了首个基于5-lncRNA特征的EBC预后预测系统,其创新价值体现在:(1)首次报道LINC00622和LINC00342在乳腺癌预后中的价值;(2)验证了LINC00993的保护性作用;(3)通过LASSO回归解决了高维数据建模难题;(4)开发的列线图工具直观易用。尽管存在缺乏外部验证的局限,但这一融合分子与临床信息的预测模型,为克服当前EBC治疗决策中的"过度治疗"或"治疗不足"困境提供了新思路,有望指导临床制定更精准的辅助治疗方案。




生物通微信公众号
知名企业招聘