
-
生物通官微
陪你抓住生命科技
跳动的脉搏
年龄如何影响长时间行走中下肢肌肉激活模式与关节力矩的变化?
【字体: 大 中 小 】 时间:2025年06月27日 来源:European Journal of Applied Physiology 2.8
编辑推荐:
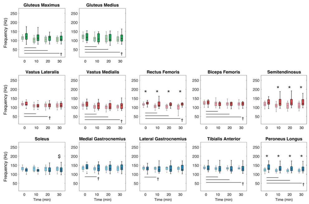
本研究针对老年人行走疲劳机制展开深入探索,通过表面肌电图(EMG)和小波变换分析12块下肢肌肉在30分钟行走中的激活模式变化,结合逆向动力学计算关节力矩。研究发现老年人比年轻人更易出现小腿肌肉疲劳,表现为SOL(比目鱼肌)平均频率显著降低,并伴随髋关节力矩代偿性增加。这一发现揭示了老年人行走时"远端-近端力矩再分配"现象的疲劳放大效应,为开发抗疲劳干预策略提供了新靶点。
行走是人类最基本的日常活动,但随着年龄增长,许多老年人会感到行走越来越吃力。这种"行走疲劳"现象背后隐藏着怎样的生理机制?为什么老年人比年轻人更容易感到行走疲劳?这些问题的答案对于维持老年人的独立行动能力至关重要。现有研究表明,老年人行走时存在典型的"远端-近端力矩再分配"现象——即更多地依赖髋关节而非踝关节发力,但这种代偿策略是否会加剧疲劳尚不清楚。来自首尔大学医院和美国北卡罗来纳大学的研究团队在《European Journal of Applied Physiology》发表的最新研究,首次系统揭示了年龄因素对长时间行走中神经肌肉控制模式的影响规律。
研究团队采用多学科交叉方法,招募了15名年轻成人(18-35岁)和14名老年人(>65岁)参与者。关键技术包括:1)使用12通道无线表面肌电图(EMG)同步采集下肢肌肉活动;2)应用小波变换和主成分分析(PCA)解析EMG信号的时频特征;3)结合三维动作捕捉和测力台数据,通过OpenSim软件计算关节力矩;4)每10分钟采用Borg量表评估主观疲劳程度(RPE)。
【EMG频率变化揭示年龄差异】
研究发现所有肌肉的EMG平均频率(fm)随行走时间显著下降,但比目鱼肌(SOL)的频率降低仅在老年组达到统计学意义(p=0.003)。

【时频分析发现特异性激活模式】
通过小波变换解析EMG强度发现,老年组在支撑中期(20-40%步态周期)的SOL和腓骨长肌(PL)激活强度普遍增高。

【关节力矩的年龄与时间效应】
研究证实了经典的"远端-近端再分配"现象:老年组髋屈曲力矩始终高于年轻组(p<0.001),且随行走时间进一步增加。

【主观疲劳的年龄差异】
老年组的自觉疲劳评分(RPE)在30分钟时达到5分("有挑战性"),显著高于年轻组(p=0.039)。

该研究的创新性在于首次系统量化了年龄对行走疲劳动力学的影响规律。主要结论包括:1)老年人小腿肌肉(特别是SOL)表现出更强的疲劳敏感性;2)时间依赖性的"远端-近端力矩再分配"现象在老年人中更为显著;3)这种神经肌肉适应模式可能是老年人行走时代谢成本增高的重要原因。这些发现为针对性训练方案设计提供了理论依据——例如通过增强小腿肌肉耐力训练或开发踝关节辅助装置,可能有助于延缓疲劳发生。研究也存在一定局限性,如未区分中枢与外周疲劳的贡献,且 treadmill walking 能否完全模拟日常行走仍需验证。未来研究可结合代谢测量和更长行走时间,进一步揭示疲劳发展的临界阈值。
生物通微信公众号
知名企业招聘