
-
生物通官微
陪你抓住生命科技
跳动的脉搏
C反应蛋白速率与炎症负荷指数:预测未足月胎膜早破潜伏期的新型系统性炎症生物标志物
【字体: 大 中 小 】 时间:2025年06月29日 来源:Archives of Gynecology and Obstetrics 2.1
编辑推荐:
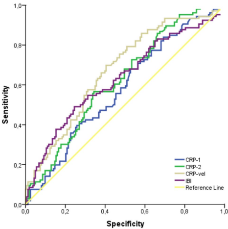
本研究针对未足月胎膜早破(PPROM)潜伏期预测的临床难题,首次评估了C反应蛋白速率(CRPv)和炎症负荷指数(IBI)作为新型炎症标志物的价值。通过337例回顾性队列分析发现,CRPv>0.17和IBI>35.8可分别以70%和61%的敏感度预测48小时内分娩,为临床干预时机选择提供了量化依据。
胎膜早破是产科常见的棘手问题,尤其是发生在妊娠37周前的未足月胎膜早破(PPROM),约占早产原因的三分之一。这种情况下,羊膜囊破裂与分娩启动之间的"潜伏期"长短直接关系到新生儿预后——潜伏期越短,感染、呼吸窘迫等并发症风险越高。然而,临床医生一直缺乏可靠的工具来预测这个关键时间窗,就像在迷雾中航行却缺少罗盘。
这一困境的核心在于炎症反应的复杂性。虽然已知C反应蛋白(CRP)等传统标志物与宫内感染相关,但静态检测的预测价值有限。就像观察单张照片难以判断电影情节走向,单一时间点的炎症指标无法反映动态变化过程。更棘手的是,现有生物标志物如白细胞介素-6(IL-6)虽准确性高,但在资源有限地区难以普及,犹如精密的瑞士手表虽好却非人人可得。
来自安卡拉市立医院围产医学科的研究团队独辟蹊径,将心血管和肿瘤领域新兴的"速率指标"概念引入产科。他们提出两个创新性指标:通过连续监测CRP水平变化计算的C反应蛋白速率(CRPv),以及整合CRP、中性粒细胞和淋巴细胞计数的炎症负荷指数(IBI)。这就像为产科医生配备了一套动态监测雷达,既能捕捉炎症强度(IBI),又能追踪其演变速度(CRPv)。
研究团队对2024-2025年间337例PPROM孕妇进行回顾性分析,采用标准化的抗生素和糖皮质激素治疗方案。关键技术包括:1)基于胎盘α-微球蛋白(PAMG-1)检测确诊PPROM;2)18-24小时间隔的连续CRP检测计算CRPv;3)通过中性粒细胞/淋巴细胞比值与CRP乘积构建IBI;4)ROC曲线确定预测阈值。
结果部分
患者特征比较
宫颈扩张≥2cm、CRP初值>8.61 mg/L的孕妇更易在48小时内分娩(p<0.001)。值得注意的是,早产组中性粒细胞计数显著升高(10.1 vs 8.9×109/L),暗示中性粒细胞浸润可能是触发分娩的关键机制。
新生儿结局
潜伏期<48小时组的新生儿体重显著较高(1917±592g),但需CPAP治疗的比例更低(43.1% vs 55.9%)。这提示炎症反应强度与胎儿成熟度可能存在微妙平衡——强烈的炎症虽加速分娩,却可能促进肺表面活性物质生成。
标志物预测效能

讨论与启示
这项研究开创性地将动力学参数引入产科炎症评估,其价值犹如为临床决策安装了"双保险":CRPv提供短期预警,IBI评估整体炎症负荷。特别是在资源有限地区,这种仅需常规检验指标的方法,比依赖昂贵检测的方案更具普适性。
不过研究者也指出,0.675的AUC值提示需结合宫颈检查等临床指标综合判断。就像气象预报需要综合温度、气压等多参数,未来可能需要建立包含炎症标志物、宫颈长度和胎监数据的多参数预测模型。
该成果发表于《Archives of Gynecology and Obstetrics》的重要意义在于:为PPROM管理提供了量化决策工具,使糖皮质激素促胎肺成熟等干预措施的实施时机更加精准。正如Dilara Duygulu Bulan团队强调的,这种"动态炎症监测"理念可能拓展至子痫前期、绒毛膜羊膜炎等其他产科炎症性疾病的预测领域。
生物通微信公众号
知名企业招聘