
-
生物通官微
陪你抓住生命科技
跳动的脉搏
基于mRNA技术的季节性流感疫苗编码血凝素和神经氨酸酶:免疫原性与安全性的突破性研究
【字体: 大 中 小 】 时间:2025年07月02日 来源:Nature Communications 14.7
编辑推荐:
为解决现有流感疫苗保护效果不足的问题,Moderna团队开发了同时编码血凝素(HA)和神经氨酸酶(NA)的mRNA疫苗(mRNA-1020/1030)。这项发表于《Nature Communications》的I/II期临床试验显示,新型疫苗在保持HA免疫原性的同时可诱导NA特异性抗体,且安全性良好,为突破当前疫苗40-60%有效率的瓶颈提供了新策略。
季节性流感每年导致全球29-64万呼吸道死亡,现有疫苗主要通过诱导血凝素(hemagglutinin, HA)抗体发挥作用,但保护效果仅40-60%。更棘手的是,当前疫苗缺乏对神经氨酸酶(neuraminidase, NA)的标准化设计,而研究表明NA抗体可独立缩短病毒脱落期并减轻症状。面对HA和NA抗原漂移不同步带来的免疫逃逸挑战,Moderna公司的科研团队在《Nature Communications》发表了突破性研究,首次证实同时编码HA和NA的mRNA疫苗可实现"双靶点"保护。
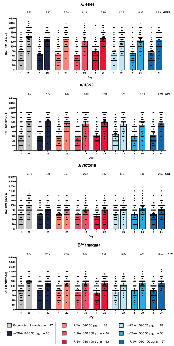
研究采用关键技术创新:1) 脂质纳米颗粒递送系统装载编码4种流感病毒株HA/NA的mRNA;2) 设置不同HA:NA质量比(1:1的mRNA-1020和3:1的mRNA-1030);3) 采用随机双盲设计,在565名18-75岁健康成人中比较不同剂量疫苗与重组HA疫苗(Flublok)的效果;4) 通过HA抑制(HAI)和NA抑制(NAI)实验评估免疫应答。
试验人群
572名受试者随机分组,基线特征均衡。安全性分析集包含565人,80.5%为白人,中位年龄49岁。
安全性


免疫原性



这项研究开创性地证明:1) mRNA平台可精准调控HA/NA表达比例;2) 添加NA抗原不会干扰HA免疫原性;3) "双靶点"策略未增加不良反应。该成果为开发有效性>60%的下一代流感疫苗奠定基础,尤其对H3N2等易变异株更具保护潜力。随着WHO不再推荐B/Yamagata株,未来可优化为三价疫苗(A/H1N1、A/H3N2、B/Victoria),为应对季节性流感提供更强大的武器库。
生物通微信公众号
知名企业招聘