
-
生物通官微
陪你抓住生命科技
跳动的脉搏
介孔共价有机框架中氟诱导梯度电场实现极化全氟化气体的高效分离
【字体: 大 中 小 】 时间:2025年07月02日 来源:Nature Communications 14.7
编辑推荐:
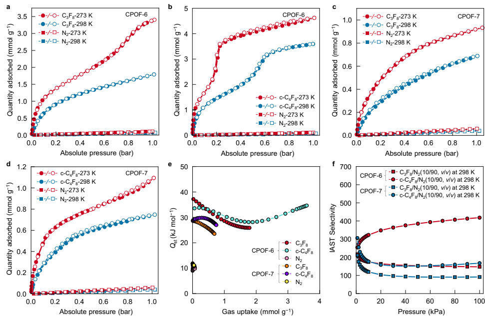
本研究针对半导体工业中全氟化气体(C3F8/c-C4F8)回收难题,设计开发了具有梯度电场的氟化介孔共价有机框架(COFs)材料CPOF-6。该材料通过表面氟化策略实现了对C3F8(1.79 mmol g-1)和c-C4F8(3.59 mmol g-1)的高效捕获,对C3F8/N2和c-C4F8/N2混合物的分离选择性分别达148和418,突破了传统微孔材料的传质限制,为工业废气处理提供了新方案。
在全球气候变暖背景下,半导体工业中使用的全氟化气体正成为被忽视的"超级温室杀手"。这类气体不仅具有惊人的全球变暖潜能值(GWP值达CO2的8830-9540倍),更因其极强的C-F键稳定性可在环境中持久存在。更棘手的是,在芯片制造的关键蚀刻工艺中,实际利用率仅30-40%的C3F8和c-C4F8不得不与保护性气体(N2/Ar/H2/O2)混合排放,传统分离技术面临能耗高、效率低的困境。针对这一挑战,中国科学院的研究团队创新性地将目光投向了具有可设计孔道结构的共价有机框架(COFs)材料。
研究团队通过精确调控孔道表面化学环境,成功构建了两种同构介孔COFs材料:氟化CPOF-6和氢化CPOF-7。其中CPOF-6展现出卓越的性能组合:高结晶度(P6空间群)、超大比表面积(1680 m2 g-1)和优异的化学稳定性(耐受6M HCl至12M NaOH)。这项工作发表于《Nature Communications》,为解决工业废气处理这一世界性难题提供了创新方案。
研究采用三大关键技术:1)通过席夫碱缩合反应构建亚胺连接的二维COFs骨架;2)利用动态突破实验评估实际分离性能(10 mL min-1流速,298K);3)基于密度泛函理论(DFT)计算揭示C4F8与框架的相互作用机制(VASP软件,PBE泛函,D3校正)。特别值得注意的是,研究团队建立了包含不同蚀刻场景的标准化气体混合物体系(如表1所示),为工业应用提供了直接参考。
【结构设计与表征】团队设计合成TTFAB与HFTPDA单体制备CPOF-6,其2.8 nm介孔通道内表面几乎全被氟原子占据。PXRD与Pawley精修证实其六方晶系结构(a=b=37.250?),固态13C NMR在165 ppm处的特征峰证实亚胺键形成。电镜显示其独特的网状纳米纤维形貌,105°的水接触角证实超疏水性。

【吸附性能】CPOF-6在298K、1 bar下对c-C4F8的吸附量达3.59 mmol g-1,远超已报道材料。关键的是,其初始吸附热(Qst)显示对C3F8(37.2 kJ mol-1)与c-C4F8(33.6 kJ mol-1)的选择性吸附,而对N2的Qst仅9.0 kJ mol-1。IAST理论预测其对c-C4F8/N2(10/90)的选择性高达418,创下该领域新纪录。

【动态分离】突破实验证实CPOF-6可实现工业化规模的连续分离:c-C4F8/N2混合物(10/90)中,c-C4F8的突破时间达45.2 min g-1,与N2形成40.
生物通微信公众号
知名企业招聘