
-
生物通官微
陪你抓住生命科技
跳动的脉搏
膳食胆碱摄入量与绝经后女性腰椎骨密度正相关:基于NHANES 2007-2018的队列研究
【字体: 大 中 小 】 时间:2025年07月03日 来源:Scientific Reports 3.8
编辑推荐:
本研究针对绝经后女性骨质疏松高发问题,通过分析NHANES 2007-2018年4,160名≥50岁女性数据,首次揭示膳食胆碱摄入量与腰椎骨密度(BMD)呈剂量依赖性正相关(β=0.082 g/cm2/g/d),且在肥胖人群(β=0.146)、高收入组(PIR>4)和非西班牙裔白人中效应更显著。该成果为胆碱靶向营养干预预防骨质疏松提供了循证依据,发表于《Scientific Reports》。
骨健康的隐形守护者:膳食胆碱如何为绝经后女性筑起骨质疏松防线
骨质疏松被称为"静默的流行病",在绝经后女性中尤为猖獗。随着雌激素水平断崖式下降,女性骨量每年可流失1-3%,使得髋部骨折风险堪比乳腺癌、卵巢癌和子宫癌的总和。美国每年因骨质疏松导致的直接医疗支出高达179亿美元,而传统补钙方案对30%的患者收效甚微。在这场与骨量流失的赛跑中,科学家们正在寻找新的营养干预靶点——胆碱,这个常被忽视的必需营养素,可能成为破解绝经后骨健康难题的关键钥匙。
山西白求恩医院的研究团队基于美国国家健康与营养调查(NHANES)2007-2018年数据,对4,160名≥50岁绝经后女性开展横断面研究。通过加权线性回归模型分析发现,每日膳食胆碱摄入量每增加1克,腰椎骨密度(BMD)显著提升0.082 g/cm2,相当于每天多吃2/3个鸡蛋(含100mg胆碱)可带来0.0082 g/cm2的骨密度改善。更引人注目的是,这种保护效应在肥胖人群(β=0.146)、家庭收入超过贫困线4倍的高收入群体(β=0.121)以及非西班牙裔白人中(β=0.110)尤为突出。这项开创性研究发表于《Scientific Reports》,为骨质疏松的精准营养干预提供了新思路。
研究采用三项关键技术:1) 基于NHANES复杂抽样设计的加权统计分析,确保结果代表美国182万绝经后女性;2) 双24小时膳食回忆法结合补充剂调查量化胆碱摄入;3) 双能X线吸收法(DXA)精确测量L1-L4腰椎骨密度。通过三阶段调整模型(从粗调到全调整)控制25项混杂因素,包括血清钙、维生素D3等生化指标。
研究结果揭示多重发现
表1展示的人口特征显示,高胆碱摄入组(Q4)具有显著优势:41.25%家庭收入超贫困线4倍,63.89%受过高等教育,76.23%为非西班牙裔白人,且膳食纤维和乳制品摄入量更高(P<0.01)。这提示胆碱摄入与社会经济地位存在潜在关联。
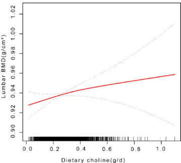
胆碱与BMD的剂量效应 在完全调整模型中,胆碱摄入每增加1g/日对应0.082 g/cm2 BMD提升(95%CI:0.025-0.139)。最高摄入组(Q4)比最低组(Q1)骨密度高出0.025 g/cm2(Ptrend=0.0234)。

分层分析发现关键修饰因素 肥胖(Pinteraction=0.015)、收入(Pinteraction=0.003)和种族(Pinteraction=0.039)显著影响胆碱效应。肥胖者可能受益于脂肪组织芳香化酶将雄激素转化为雌激素的"代偿效应";高收入群体则可能因更易获取胆碱丰富食物(如牛肝含356mg/3盎司)而放大保护作用。
这项研究首次系统阐释了胆碱对绝经后骨健康的保护作用,其机制可能涉及三重通路:1) 作为甜菜碱前体参与一碳代谢,降低同型半胱氨酸水平(已知的骨丢失促进因子);2) 通过抑制NF-κB/MAPK信号通路缓解雌激素缺乏导致的炎症性破骨细胞活化;3) 作为磷脂酰胆碱组分维持骨细胞膜完整性。研究同时揭露了健康不平等现象——社会经济优势群体更易从胆碱摄入中获益,这为公共卫生政策制定提供了重要依据。尽管24小时膳食回忆法存在测量误差,但研究通过排除离群值(IQR法)确保结果稳健。未来研究需通过追踪骨折结局和引入胆碱代谢标志物(如血浆磷脂酰胆碱)进一步验证临床价值,让这个"营养界灰姑娘"真正成为守护骨骼健康的魔法钥匙。
生物通微信公众号
知名企业招聘