
-
生物通官微
陪你抓住生命科技
跳动的脉搏
Tirzepatide(TZP)短期干预对肥胖患者代谢性性腺功能减退及体成分的影响:一项对照性初步研究
【字体: 大 中 小 】 时间:2025年07月03日 来源:Reproductive Biology and Endocrinology 4.2
编辑推荐:
本研究针对肥胖伴代谢性性腺功能减退(metabolic hypogonadism)患者,探索了双重GIP/GLP-1受体激动剂Tirzepatide(TZP)对性激素水平及体成分的改善作用。通过对照实验发现,TZP治疗2个月后显著降低体重、腰围和脂肪量,同时提升睾酮(TT)、LH、FSH水平,改善勃起功能障碍(ED)。该研究为肥胖相关内分泌紊乱提供了新型综合治疗策略。
肥胖已成为全球性健康危机,其并发症远超出心血管疾病和糖尿病的范畴。一个常被忽视的问题是代谢性性腺功能减退(metabolic hypogonadism),表现为男性睾酮水平降低伴正常或低促性腺激素水平。这种状态会加剧代谢异常,形成恶性循环:肥胖导致脂肪组织过度芳香化睾酮为雌二醇(E2),同时炎症因子抑制下丘脑-垂体-性腺轴(HPG轴)功能,进一步加重胰岛素抵抗和脂肪堆积。传统治疗方案睾酮替代疗法(TRT)虽能改善激素水平,却无法根本解决肥胖问题。
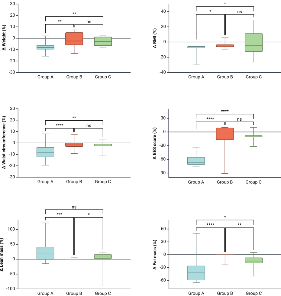
意大利卡塔尼亚大学的研究团队在《Reproductive Biology and Endocrinology》发表了一项开创性研究,首次评估了新型降糖减重药物Tirzepatide(TZP)——一种葡萄糖依赖性促胰岛素多肽(GIP)和胰高血糖素样肽-1(GLP-1)受体的双重激动剂——对肥胖伴代谢性性腺功能减退患者的综合疗效。研究采用三组对照设计:A组(TZP+生活方式干预)、B组(单纯生活方式干预)和C组(TRT+生活方式干预),通过2个月干预比较体成分、性功能(IIEF-5评分)和激素水平的变化。
研究采用的关键技术包括:1)生物电阻抗分析(BIA)定量体成分;2)电化学发光免疫法检测LH、FSH、总睾酮(TT)、E2等激素;3)稳态模型评估(HOMA)指数评价胰岛素抵抗;4)国际勃起功能指数(IIEF-5)和暴食量表(BES)评估症状改善。
研究结果
1. 基线特征
83例患者(平均BMI 34.9 kg/m2)存在显著内分泌紊乱:TT中位数186 ng/dL(低于诊断阈值264 ng/dL),所有患者均伴有ED(IIEF-5评分5-12分)。A组基线暴食倾向(BES评分24分)和内脏脂肪更高。
2. 体成分改善
TZP组(A组)表现最优:

3. 性功能与激素变化

结论与意义
该研究首次证实TZP具有"双重获益"机制:通过减轻体重(减少脂肪芳香化)和直接调节HPG轴功能,同步改善代谢参数和性腺功能。其优势体现在:
局限性包括样本量较小和短期观察,但结果为代谢性性腺功能减退提供了全新治疗范式。未来研究可探索TZP与TRT联用、延长随访以评估长期安全性,以及对比其他GLP-1受体激动剂的差异效应。这项研究为肥胖相关内分泌疾病的精准治疗开辟了新路径。
生物通微信公众号
知名企业招聘