
-
生物通官微
陪你抓住生命科技
跳动的脉搏
城市湿地挺水植物刈割对水生昆虫群落的温度依赖性影响机制研究
【字体: 大 中 小 】 时间:2025年07月03日 来源:Wetlands 1.8
编辑推荐:
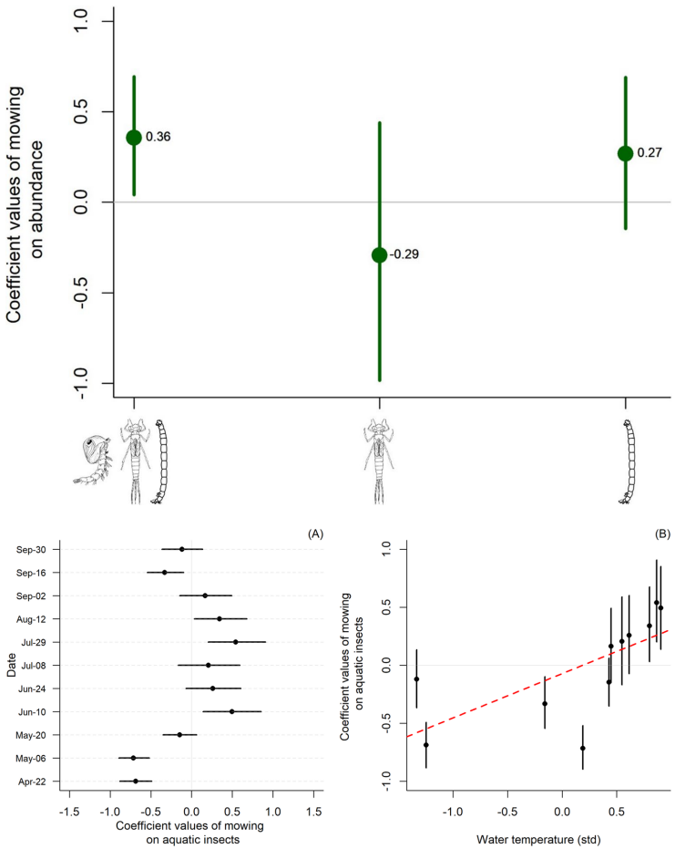
本研究针对城市湿地管理中挺水植物刈割对水生昆虫群落的影响机制不明问题,通过贝叶斯结构因果模型(Bayesian structural causal modeling)量化了直接与间接效应。研究发现刈割通过提升水温(22-33°C)和溶解氧(DO)间接增加摇蚊幼虫(Chironomidae)丰度,但降低豆娘幼虫(Coenagrionidae)数量,揭示了温度依赖性的生态调控机制,为城市湿地适应性管理提供了科学依据。论文发表于《Wetlands》。
在全球淡水生态系统生物多样性急剧下降的背景下,城市化导致的栖息地丧失成为关键威胁。城市池塘作为"蓝绿网络"的重要组成部分,通过调节微气候和提供栖息地支撑着水生生物多样性。然而,作为常见管理手段的挺水植物刈割,其对水生昆虫群落的影响机制长期存在争议——究竟是直接改变栖息地结构,还是通过水温、溶解氧等水质参数间接发挥作用?这一科学问题亟待解答。
来自台湾大学和加州大学戴维斯分校的研究团队在《Wetlands》发表的研究中,以东南亚典型人工湿地(台湾新北市鹭鸶坑湿地)为研究对象,通过配对实验设计(刈割/非刈割)和贝叶斯结构因果模型,首次量化了刈割对水生昆虫群落的直接与间接效应。研究发现,刈割通过提升水温(增幅达33°C)和溶解氧(DO)水平,显著增加了耐高温的摇蚊幼虫(Chironomidae)丰度(效应值β=0.27),但降低了依赖植物遮蔽的豆娘幼虫(Coenagrionidae)数量(β=-0.29)。这种温度依赖性效应在夏季尤为显著,为城市湿地适应性管理提供了关键科学依据。
研究采用三项关键技术:1)配对实验设计,在相同湿地单元设置刈割/非刈割处理区;2)水质参数(水温、pH、DO)现场测定与水生昆虫采样同步进行;3)基于有向无环图(DAG)的贝叶斯结构因果模型,区分直接效应与间接效应路径。样本来自台湾新北市鹭鸶坑湿地三个水文单元,覆盖2018年4-9月的完整水文周期。
主要研究结果
刈割总体增加水生昆虫丰度
通过119次采样记录显示,刈割使昆虫总丰度提升36%(90%CI:0.04-0.69),但存在显著的分类群差异。摇蚊幼虫在刈割区丰度增加27%,而豆娘幼虫减少29%。
温度驱动的季节效应

水质参数的调控作用
刈割使水温平均升高1.5°C,溶解氧增加21%(β=0.21)。结构因果模型显示,溶解氧提升是促进昆虫丰度的关键路径,而高温(>30°C)会特异性抑制豆娘幼虫(β=-0.24)。
结论与意义
该研究首次通过因果推断框架揭示:城市湿地挺水植物刈割主要通过水温-DO的间接路径(而非直接栖息地改变)影响昆虫群落,且效应方向取决于温度阈值。这一发现突破了传统管理认知,提出夏季刈割可促进耐热类群(如摇蚊)的生态服务功能,但需保留部分植被以保护温度敏感物种(如豆娘)。研究建立的贝叶斯因果模型为城市湿地管理提供了量化工具,其温度依赖效应机制对气候变化背景下的适应性管理具有重要指导价值。
研究局限性包括单一年度数据和单一湿地样本,未来需扩大时空尺度验证。但毫无疑问,这项工作为平衡城市湿地植被管理与生物多样性保护提供了创新性的科学框架。
生物通微信公众号
知名企业招聘