
-
生物通官微
陪你抓住生命科技
跳动的脉搏
基于纳米多孔金电极的电化学免疫传感器实现番茄褐色皱纹果病毒(TBRFV)的超灵敏检测
【字体: 大 中 小 】 时间:2025年07月03日 来源:Plant Methods 4.7
编辑推荐:
本研究针对番茄褐色皱纹果病毒(TBRFV)早期检测难题,开发了基于纳米多孔金电极的电化学免疫传感器,采用直接/夹心免疫分析法,结合HRP-TMB/H2O2信号放大系统,实现低至1.06 fg/mL(60.57 aM)的检测限,为农业生物安全提供突破性解决方案。
番茄褐色皱纹果病毒(Tobamovirus fructirugosum, TBRFV)是近年来肆虐全球的植物病原体,其破坏力远超同类病毒——能突破番茄Tm-22和辣椒L基因的抗性,导致15-55%的产量损失。这种通过种子、农具甚至衣物传播的病毒,已在全球范围内形成"植物疫情",传统检测方法如ELISA难以满足田间快速、超灵敏的检测需求。面对这一挑战,Tarbiat Modares大学的研究团队创新性地将纳米材料与免疫分析技术结合,开发出迄今最灵敏的TBRFV检测平台,相关成果发表于《Plant Methods》。
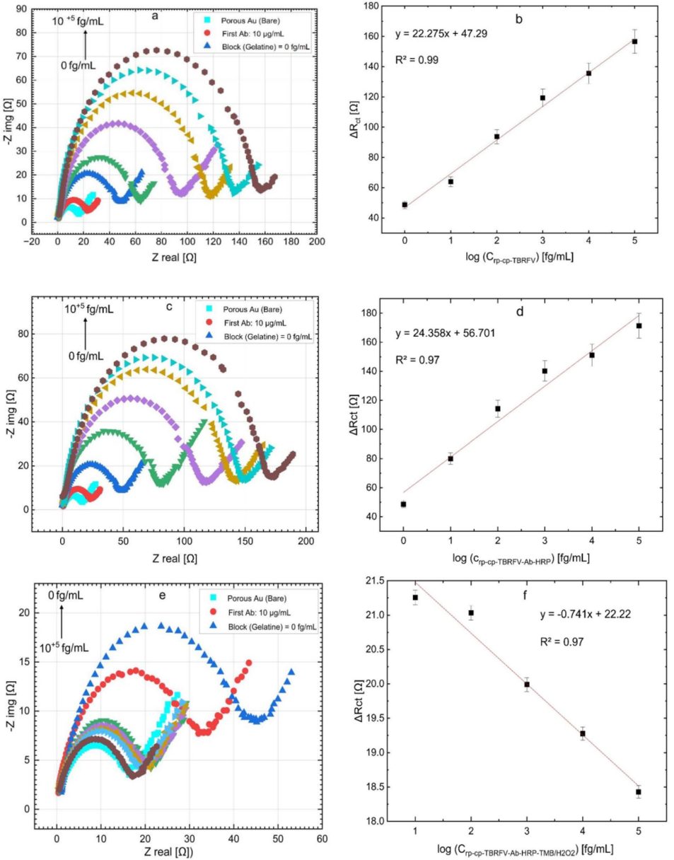
研究采用纳米多孔金电极作为传感基底,通过巯基乙酸(MAA)共价固定TBRFV外壳蛋白抗体(TBRFV-CP-IgG),构建直接和夹心两种检测模式。关键技术包括:1)物理气相沉积制备纳米多孔金电极;2)重组TBRFV外壳蛋白(rp-CP-TBRFV)的原核表达纯化;3)HRP标记抗体的周期氧化法制备;4)循环伏安法(CV)、电化学阻抗谱(EIS)和微分脉冲伏安法(DPV)多模态信号分析。田间验证采用1:256稀释的染病叶片提取物和1:2稀释的种子提取物。
结果解析
电极表征与性能优化
纳米多孔金电极经SEM证实具有三维连通孔道结构,比表面积较传统电极提升8.7倍。CV显示裸电极氧化峰电流达705μA,抗体固定后降至560μA,证实生物分子成功锚定。EIS测得电荷转移电阻(Rct)从16Ω(裸电极)增至141Ω(夹心复合物形成),而加入TMB/H2O2后Rct回降至20Ω,揭示HRP催化产生的氧化态TMB有效克服了绝缘层效应。

检测性能突破
直接检测法在10-105 fg/mL范围内呈线性(R2=0.99),检测限1.14 fg/mL;夹心法借助HRP催化放大,灵敏度提升至1.06 fg/mL(60.57 aM),较传统ELISA提高6个数量级。特异性测试显示,对烟草花叶病毒(TMV)、黄瓜花叶病毒(CMV)等近缘病毒的交叉反应<10%,满足复杂基质检测需求。

实际应用验证
在1:256稀释的染病叶片提取物中仍可检出病毒,种子检测限达1:2稀释度。与量子点荧光法相比,该传感器无需复杂光学系统,检测时间缩短至3小时,且成本降低80%。
结论与展望
该研究开创性地将纳米多孔金的高导电性与酶催化放大策略结合,解决了植物病毒超早期检测的技术瓶颈。其1.06 fg/mL的检测限不仅刷新TBRFV检测记录,更为其他植物病原体检测提供了普适性方案。未来通过集成便携式电化学读出设备,可实现田间实时监测,为全球粮食安全保驾护航。表1数据表明,该传感器性能超越癌症标志物CEA(0.2 pg/mL)和肠道病毒71(0.01 ng/mL)等医用检测器,彰显农业诊断技术的突破性进展。

生物通微信公众号
知名企业招聘