
-
生物通官微
陪你抓住生命科技
跳动的脉搏
海水温度与脑部GnRH样肽表达调控野生莱氏拟乌贼性腺发育的关联机制研究
【字体: 大 中 小 】 时间:2025年07月04日 来源:Biological Research 4.3
编辑推荐:
本研究针对头足类生殖内分泌调控机制不清的科学问题,通过组织学观察结合分子生物学技术,揭示了海水温度周期与GnRH样肽在莱氏拟乌贼(Sepioteuthis lessoniana)性腺发育中的差异化调控作用。研究发现雄性早期精巢发育与脑部GnRH样肽表达显著相关,而卵巢成熟则主要受海水温度影响,为头足类性别特异性生殖调控提供了新见解。
海洋生物学家长期被头足类"繁殖后即死亡"的生命策略所吸引,这类软体动物在完成生殖使命后便走向生命终点,其精确的生殖调控机制却始终蒙着神秘面纱。作为重要的渔业资源,莱氏拟乌贼(Sepioteuthis lessoniana)的生殖周期与环境因素、神经内分泌系统的复杂互动,成为破解头足类生殖奥秘的关键突破口。现有研究虽在脊椎动物中发现下丘脑-垂体-性腺轴(HPG axis)的核心调控作用,但无脊椎动物中类似GnRH样肽(GnRH-like)的功能仍存在巨大认知空白,特别是在两性性腺发育中可能存在的差异化调控机制。
为揭示这些科学问题,长崎大学等机构的研究团队对野生莱氏拟乌贼展开为期五年的系统研究,成果发表于《Biological Research》。研究通过整合环境参数监测、性腺组织学分期、分子克隆及脑部GnRH样肽定位等多元方法,首次构建了该物种完整的生殖内分泌调控图谱。主要技术路线包括:1)2018-2023年采集170只野生样本建立性腺发育时序模型;2)克隆GnRH样肽基因并进行多序列比对;3)qPCR定量不同性腺发育阶段的脑部表达谱;4)免疫组化定位神经肽分布;5)关联海水温度年周期与性腺发育关系。
研究结果部分,"年度GSI与海水温度变化的关系"显示:雄性性腺指数(GSI)在11月即开始上升,次年1月达成熟峰值,与水温下降期同步;而雌性GSI则严格跟随3-5月水温上升曲线,两性发育呈现3-4个月的时间差。

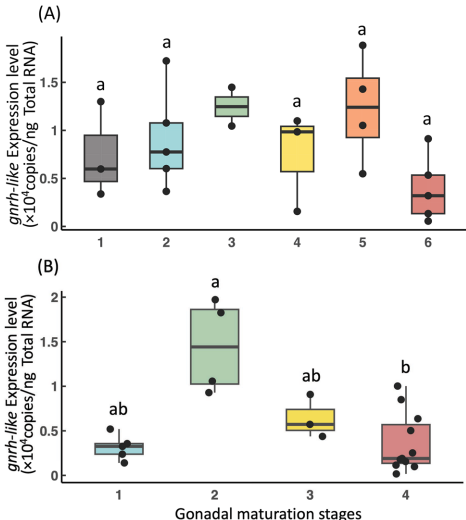
"基于组织学特征的性腺发育分期"部分建立了精细的六阶段卵巢分期体系:从胞质生长期到卵黄形成期,首次在野生群体中发现卵泡-折叠复合体(FFC)的动态变化规律;睾丸则分为精母细胞期至成熟期四阶段,揭示精子发生早于卵子成熟的生殖策略。


"GnRH样肽的分子克隆与表达分析"获得730bp全长序列,与其它头足类保守性达81-87%。定量研究发现精细胞期的脑部表达量显著高于成熟期(P<0.05),而雌性各期间无统计学差异,提示该肽可能通过视腺信号参与早期精子发生调控。

"脑部GnRH样肽的免疫组化定位"显示免疫阳性信号集中分布于视叶及视腺周围区域,但未发现性别或季节差异,暗示其可能通过固定神经通路发挥作用。

研究结论创新性地提出"双轨制调控模型":雌性生殖主要受环境温度驱动,符合能量最优分配理论;而雄性发育则由内源性GnRH样肽通过视腺相关神经环路启动,这种性别二态性调控机制为理解头足类生殖策略进化提供了新视角。该发现不仅填补了软体动物神经内分泌学的知识空白,更为莱氏拟乌贼的人工繁育提供了关键理论支撑——通过差异调控水温与神经肽干预,有望实现两性同步成熟的人工调控,对头足类资源可持续利用具有重要实践意义。研究建立的性腺分期标准与分子标记体系,也为其它经济头足类的生殖研究提供了可借鉴的方法学范式。
生物通微信公众号
知名企业招聘