
-
生物通官微
陪你抓住生命科技
跳动的脉搏
三层次AI系统Multi-Glau:破解中国分级诊疗体系下青光眼诊断资源不均难题
【字体: 大 中 小 】 时间:2025年07月04日 来源:npj Digital Medicine 12.4
编辑推荐:
针对中国分级诊疗体系中青光眼诊断资源分布不均的难题,湖南的研究团队开发了首个三层次AI系统Multi-Glau。该系统通过XGBoost筛查模块(AUC=0.9254)、Freeze-Missing预诊断模块(AUC=0.8650)和M3-VF确诊模块(AUC=0.9516),实现了从基层医院的无影像筛查到三级医院的精确分期,验证了AI在提升医疗公平性中的突破性价值。
青光眼作为全球不可逆致盲的首要病因,其诊断面临着一个残酷的现实:医疗资源分布不均导致大量患者错失黄金诊疗期。在中国,这个问题尤为突出——三级医院拥有90%的眼科专家和高端设备,而承担首诊任务的基层医疗机构却连基本检查设备都匮乏。这种"倒金字塔"式的资源分布,使得占人口60%的农村居民难以获得及时诊断。更棘手的是,现有AI模型大多依赖完整的多模态数据(如OCT光学相干断层扫描、VF视野检查),这与基层医疗的现实条件形成尖锐矛盾。
为破解这一难题,中南大学的研究团队在《npj Digital Medicine》发表了创新性解决方案。他们基于中国分级诊疗政策,开发了全球首个三层次AI系统Multi-Glau。该系统创造性地区分了不同层级医院的需求:基层机构只需输入年龄、性别等5项基础数据即可筛查(无需影像);二级医院能处理不完整检查数据;三级医院则可实现四阶段精确分级。研究团队收集了3545例配对数据,通过XGBoost、Freeze-Missing缺失数据处理和M3-VF多模态融合三大核心技术,构建了这个贯穿诊疗全流程的智能系统。
关键技术方法包括:1)从27,255例电子病历中筛选出3,545例配对数据,排除合并其他眼病患者;2)采用LightGBM进行多重插补处理缺失值;3)XGBoost模型实现无影像筛查;4)Freeze-Missing模块通过Se-Conv+Concatenation处理40%缺失率数据;5)M3-VF模块结合CBAM注意力和Transformer编码器实现四阶段分级。所有数据来自中南大学湘雅医院等三家医疗机构。
研究结果部分:
筛查模块性能:XGBoost模型仅用5项临床参数(杯盘比CDR>眼压IOP>最佳矫正视力BCVA)即达AUC 0.9254,在桃江基层医院验证时灵敏度达0.9750。如图3所示,其SHAP分析显示CDR对预测贡献最大。

预诊断模块突破:Freeze-Missing在40%数据缺失时仍保持0.8738灵敏度,优于MMD等现有模型(表6)。其创新性地采用特征冻结策略,当图像数据缺失时自动停止对应分支参数更新。
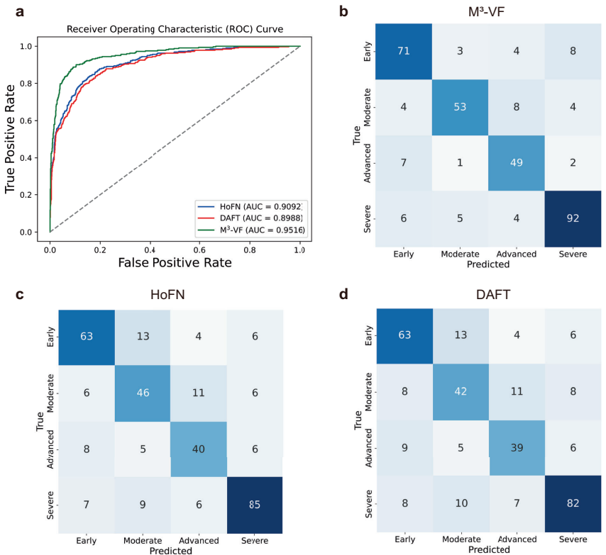
确诊模块优势:M3-VF通过多模态融合(OCT+眼底彩照+临床参数)实现四阶段分级(早期/中度/晚期/严重),AUC达0.9516。如图5所示,其混淆矩阵显示对严重病例识别准确率最高。

人机交互实验显示(图6),Multi-Glau使医生诊断准确率提升最显著的是严重病例(P<0.01),三级医院医生使用系统后修正了18例误诊。系统通过GradCAM++可视化技术,能识别视盘旁出血等关键特征(补充图4),这为基层医生提供了宝贵的学习参考。
这项研究的意义不仅在于技术突破,更开创了AI适配医疗政策的新范式。相比依赖完整数据的传统模型,Multi-Glau首次系统解决了"数据碎片化"这一现实难题,使AI真正服务于资源匮乏地区。其分级设计完美契合中国医改方向,为其他专科的AI开发提供了可复制的框架。当然,研究也存在局限,如未纳入屈光状态等风险因素,未来可通过跨层级知识迁移进一步优化。这项成果标志着医疗AI从"技术导向"向"需求导向"的重要转变,为全球解决医疗资源不均问题提供了中国方案。
生物通微信公众号
知名企业招聘