
-
生物通官微
陪你抓住生命科技
跳动的脉搏
三维步态评估:去旋转截骨术改善青少年下肢旋转畸形的疼痛与功能
【字体: 大 中 小 】 时间:2025年07月05日 来源:BMC Musculoskeletal Disorders 2.2
编辑推荐:
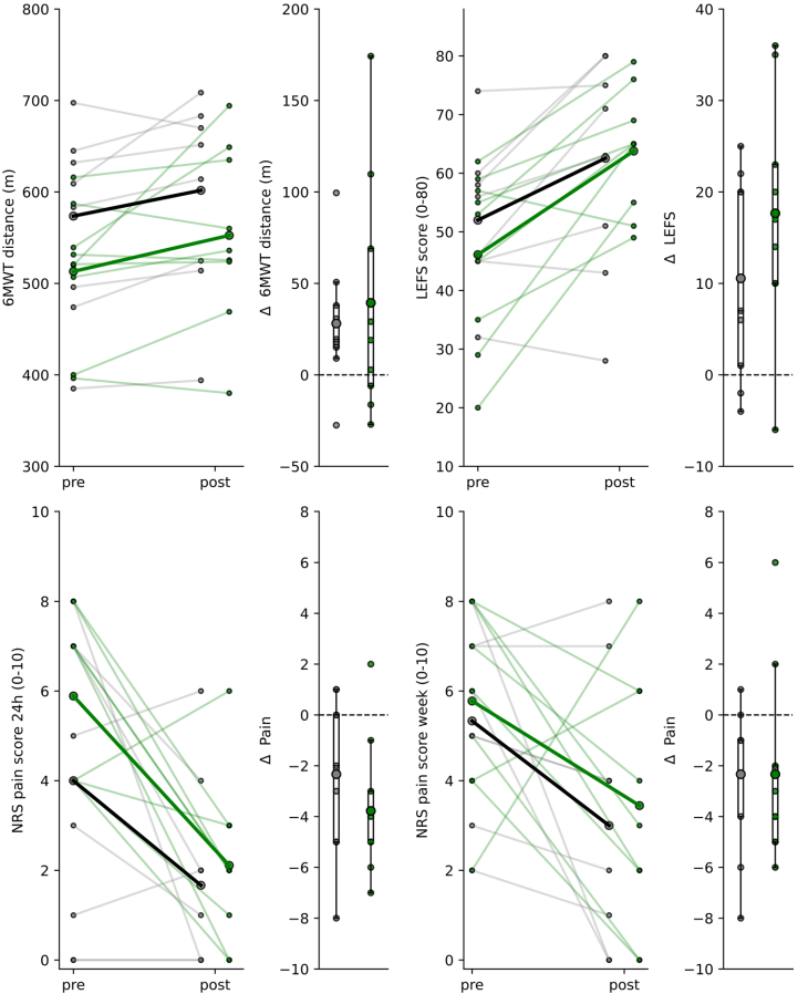
针对青少年下肢旋转畸形(如股骨前倾角异常、胫骨扭转)引发的疼痛和功能障碍争议,荷兰Sint Maartenskliniek团队通过前瞻性队列研究,结合6分钟步行测试(6MWT)、下肢功能量表(LEFS)和三维步态分析评估去旋转截骨术疗效。结果证实:术后患者步行距离显著增加34米(95% CI: 9, 59),疼痛评分(NRS)降低3.1分,LEFS提升14分(p<0.001),步态髋关节旋转和足前进角趋于中立。研究为手术指征标准化提供关键循证依据,发表于《BMC Musculoskeletal Disorders》。
青少年下肢旋转畸形是儿科骨科常见问题,包括股骨异常前倾(Femoral anteversion)、胫骨扭转(Tibial torsion)或二者并存。尽管多数病例无症状或随生长自愈,但部分患者畸形持续至青春期,导致步态异常(如内/外八字)、髋/膝/踝关节疼痛,甚至增加髌骨不稳风险。保守治疗无效时,去旋转截骨术成为选择,但其疗效争议集中于三点:缺乏客观功能评估数据、手术指征阈值不统一、不同术式(单/双侧、股骨/胫骨矫正、内/外旋方向)的疗效差异不明。
荷兰Sint Maartenskliniek骨科团队开展前瞻性纵向研究,纳入18例12-21岁患者(共27肢),术前及术后1年评估:
行走能力显著提升
6MWT距离平均增加34米(95% CI: 9, 59;p=0.013),但改善程度存在异质性:单侧手术组增28米,双侧组增39米。5例达最小临床重要差异(MCID, 7%),4例(3例双侧)出现下降。

疼痛减轻与功能改善
步态动力学正常化
所有亚组(股骨外旋截骨EFO、胫骨内旋截骨ITO等)站立相髋旋转角与足前进角均趋近中立位(图3),但矫正幅度(5°-10°)小于术中调整值(15°-30°),提示静态对齐与动态步态存在差异。

去旋转截骨术显著改善青少年旋转畸形患者的客观行走能力、疼痛及主观功能,且满意度高。然而,疗效受手术类型(单/双侧、股骨/胫骨、旋转方向)影响:
研究为手术标准化提供关键证据,但仍需大样本研究明确不同术式的适应症阈值,并探索非应答者(5例功能未改善)的预测因素,以优化临床决策。
生物通微信公众号
知名企业招聘