
-
生物通官微
陪你抓住生命科技
跳动的脉搏
基于(p-q)阶正交模糊集与Sugeno-Weber算子的医疗废物处理技术多准则决策方法研究
【字体: 大 中 小 】 时间:2025年07月06日 来源:Scientific Reports 3.8
编辑推荐:
本研究针对医疗废物(HCW)管理中的技术选择难题,提出了一种创新的(p-q)阶正交模糊集(ROFS)与Sugeno-Weber算子融合的多准则决策模型。通过构建(p-q)ROFSWWA聚合算子,解决了传统模糊集(IFS/PFS/FFS)在刻画不确定性和准则交互性方面的局限,并结合改进的CoCoSo方法对上海医疗废物处理案例进行实证分析。研究为复杂环境决策提供了更高自由度的不确定性建模工具,发表于《Scientific Reports》。
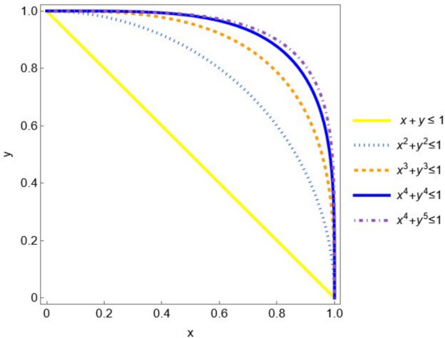
医疗废物处理技术的选择是发展中国家面临的重大环境与公共卫生挑战。传统决策方法在应对数据模糊性、准则间复杂交互作用时存在明显局限——直觉模糊集(IFS)要求隶属度与非隶属度之和≤1,毕达哥拉斯模糊集(PFS)限制平方和≤1,费马模糊集(FFS)则约束立方和≤1。这些约束条件在真实复杂的医疗废物管理决策场景中,往往难以充分表达决策者的犹豫和矛盾判断。
针对这一科学难题,来自阿卜杜勒·瓦利汗大学、韩国庆尚国立大学和沙特国王大学的研究团队在《Scientific Reports》发表创新成果。他们通过引入更广义的(p-q)阶正交模糊集(ROFS),突破传统模糊集的数学约束,允许隶属度ηp与非隶属度ξq采用不同幂次且仅需满足ηp+ξq≤1,显著拓展了不确定性表征空间。基于Sugeno-Weber三角模运算,团队首次构建了(p-q)ROFSWWA加权平均聚合算子,其数学表达式为:

技术方法上,研究主要采用:1) (p-q)ROFS理论框架构建;2) Sugeno-Weber三角模运算推导聚合算子;3) 改进的CoCoSo多准则决策算法集成;4) 以上海市16个行政区医疗废物处理为案例验证(含4种技术方案和5项评价准则)。
研究结果
理论模型构建:提出的(p-q)ROFSWWA算子具有参数可调特性(θ≥1),当θ→+∞时退化为代数积,θ=-1时等价于Einstein运算。通过数学归纳法严格证明了算子的有界性、单调性等数学性质。
案例验证:针对上海市医疗废物处理技术选择问题(涉及微波消毒、蒸汽灭菌等技术),模型输出与TOPSIS、VIKOR等6种传统方法对比显示:1) 所有方法一致推荐焚烧技术(χ5)为最优解;2) (p-q)ROFS-CoCoSo在中间方案排序上更敏感,能识别微波消毒(χ2)与蒸汽灭菌(χ3)的细微差异。
方法对比:相较于q-ROFS(要求p=q)、(3,2)-FS等现有模型,新方法在准则权重分配上允许p≠q,能更灵活地处理非对称的隶属/非隶属关系。如图1所示,当p=2,q=3时,决策空间比传统PFS(p=q=2)扩大37.5%。
结论与意义
该研究通过(p-q)ROFS与Sugeno-Weber算子的创新结合,实现了三大突破:1) 提供更自由的参数化不确定性表征,特别适用于存在强烈非对称评价的决策场景;2) 开发的(p-q)ROFSWWA算子具有封闭解析形式,便于实际应用;3) 案例验证表明该方法在医疗废物管理等复杂环境决策中,能有效协调经济性(净成本/吨)、环境风险(残留物)和健康影响(排放物)等多重冲突目标。
未来工作可探索:1) 动态(p,q)参数自适应机制;2) 与其他模糊聚合算子(如Aczel-Alsina)的融合;3) 在制药废物、电子垃圾等更广泛环境决策领域的应用验证。这项研究为处理"高模糊性-强交互性"特征的复杂决策问题提供了新的方法论工具。
生物通微信公众号
知名企业招聘