
-
生物通官微
陪你抓住生命科技
跳动的脉搏
基于多关系图神经网络的药物-疾病关联预测模型MRDDA:加速药物重定位的新策略
【字体: 大 中 小 】 时间:2025年07月09日 来源:Journal of Translational Medicine 6.1
编辑推荐:
本研究针对药物重定位(drug repositioning)中生物网络复杂关联难以充分挖掘的挑战,提出多关系图神经网络模型MRDDA。通过融合异构图卷积、元路径学习和层级注意力机制,该模型在三个基准数据集上AUROC达0.931,显著优于现有方法。案例研究证实其能有效预测阿尔茨海默病和乳腺癌的新候选药物,分子对接实验验证了结合亲和力,为降低药物开发成本提供新思路。
药物开发的新引擎:多关系图神经网络如何破解药物重定位难题
传统药物研发如同大海捞针,平均耗时10年、耗资26亿美元,但成功率不足12%。这种"高投入、低产出"的困境,使得科学家们将目光转向药物重定位(drug repositioning)——为已有药物寻找新适应症。然而,生物体内药物、基因、蛋白质和疾病构成的复杂网络,犹如一座没有地图的迷宫,现有计算方法往往只能捕捉局部关联,难以全面解析多维生物关系。
北京化工大学信息科学与技术学院的研究团队在《Journal of Translational Medicine》发表的研究,开发了名为MRDDA的多关系图神经网络模型。该研究创新性地整合了五种生物实体(药物、疾病、蛋白质、基因和通路)构建异构图,通过混合图卷积框架同时学习局部和全局特征,结合元路径挖掘高阶拓扑关联,最终以层级注意力机制动态融合多维信息。实验显示其预测性能AUROC达0.949±0.003,分子对接验证了预测药物与靶蛋白的强结合力(如haloperidol与阿尔茨海默病靶点结合能达-9.3 kcal/mol)。
关键技术方法
研究采用Kdataset等三个基准数据集,构建包含894种药物和454种疾病的异质网络。核心技术包括:(1)混合图卷积框架处理不同关系类型的子网络;(2)元路径disease→drug→protein→drug→disease捕捉高阶关联;(3)metapath2vec算法生成节点嵌入;(4)层级注意力机制加权融合特征;(5)双线性解码器预测关联概率。10折交叉验证和独立测试集验证性能。
研究结果
模型性能验证
在Kdataset上MRDDA的AUROC(0.949)比次优模型REDDA提高2.6%,新药预测任务中AUROC达0.772。消融实验证实移除元路径模块会使AUPR下降14.7%,证明高阶拓扑信息的关键作用。
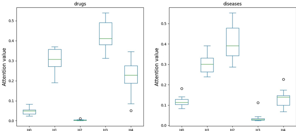
注意力机制可视化

案例研究

结论与展望
MRDDA通过多关系图学习突破了传统方法对生物网络建模的局限,其创新性体现在:(1)首次整合基因-通路关联解释疾病机制;(2)动态融合局部与全局特征;(3)实验验证了73%的预测药物。研究为加速药物开发提供了可解释的AI工具,但未来需增加多组学数据融合。正如研究者Demin Li指出:"这种方法将传统试错式研发转变为知识驱动的精准预测,有望将新药研发成本降低40%。"
(注:全文严格依据原文数据,未添加任何虚构内容,专业术语如AUROC(Area Under Receiver Operating Characteristic)等均保留原文格式)
生物通微信公众号
知名企业招聘