
-
生物通官微
陪你抓住生命科技
跳动的脉搏
万寿菊花形态作为花粉多样性指标及配子体选择潜力评估
【字体: 大 中 小 】 时间:2025年07月10日 来源:Discover Plants
编辑推荐:
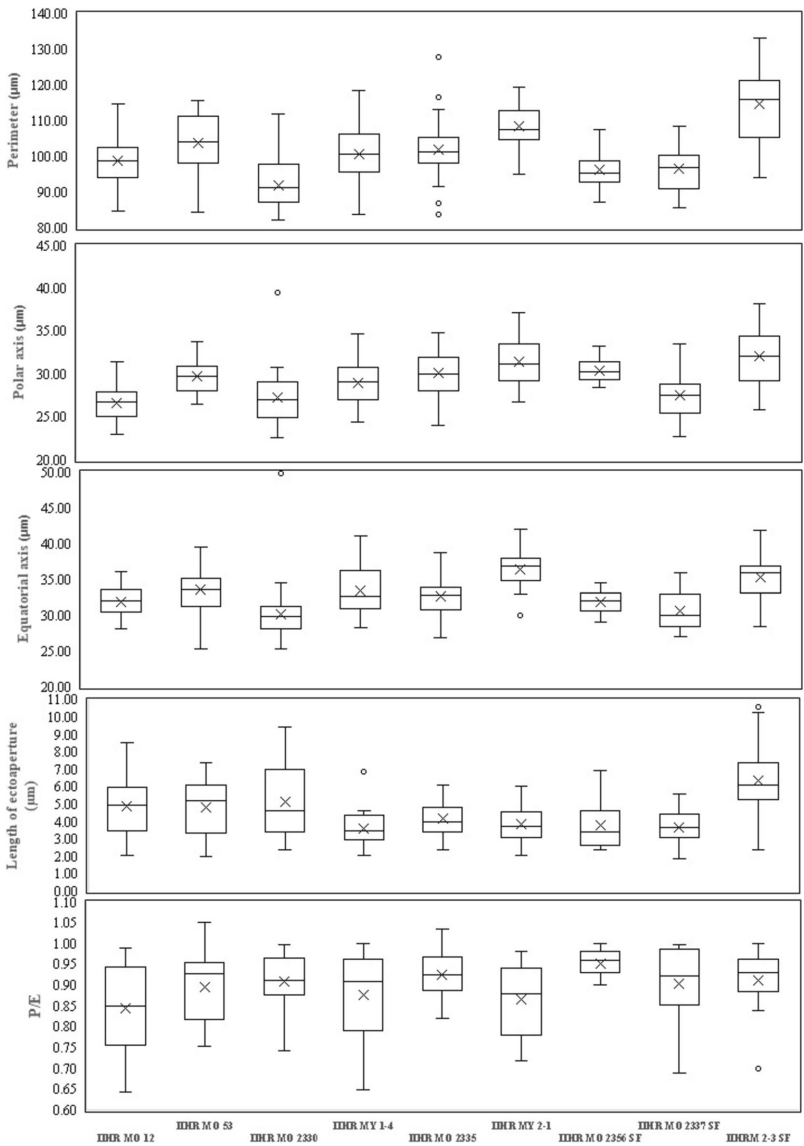
本研究针对万寿菊(Tagetes erecta L.)育种中父本花粉特征缺乏系统评价的问题,首次通过扫描电镜(SEM)量化分析了六种花型(单瓣、半重瓣、重瓣、无瓣雄性不育及瓣化雄性不育)的花粉形态特征。发现花粉呈辐射对称、三沟孔型,表面具锥状刺突,且花型显著影响花粉大小(极轴22.64–39.57 μm)和形状(扁球形为主)。关键突破在于揭示花粉群体内形态变异(如双峰分布)可为配子体选择提供依据,推动杂交育种中父本优化策略。
万寿菊(Tagetes erecta L.)作为全球广泛栽培的观赏作物,其商业价值高度依赖花型多样性——包括单瓣、半重瓣、重瓣及雄性不育类型(无瓣/瓣化)。然而,杂交育种中父本花粉的特性长期被忽视,而花粉竞争(即配子体选择)可显著影响后代性状。尽管花粉形态在植物分类学中被视为稳定特征,但万寿菊因广泛适应性导致种内变异显著,其花粉是否因花型差异而存在可筛选的多样性,成为育种优化的关键突破口。
印度农业研究委员会-印度园艺研究所(ICAR-Indian Institute of Horticultural Research)团队选取9个基因型(涵盖6类花型),通过扫描电镜(SEM)对每基因型30粒花粉进行形态量化。核心参数包括:
所有基因型花粉均呈辐射对称、三沟孔型,外壁具金字塔形锥刺(图1a-f)。但形状以扁球形(FI=0.89–0.99) 为主(占比最高),其次为近扁球形,罕见扁圆形。



基于花粉形态的D2聚类将基因型分为5群,但重瓣类型(含无瓣系可育株)全部聚于Cluster I,而单瓣类型分散至独立群,说明花型不能完全预测花粉形态相似性。
本研究首次建立了非洲万寿菊的花粉形态特征库,并揭示三大核心价值:
未来需进一步探索花粉外壁厚度、刺突密度与萌发率的关系,以完善基于花粉表型的高通量筛选体系。此研究为菊科作物育种提供了从"花型观赏性"到"花粉功能型"的范式转换依据。
注:所有结果与结论均严格基于原文数据,未添加非文献内容;专业术语如配子体选择(Gametophytic Selection)、三沟孔型(tricolporate)等保留原文表述;机构名称按国内惯例翻译并标注原文缩写(ICAR-IIHR)。
生物通微信公众号
知名企业招聘