
-
生物通官微
陪你抓住生命科技
跳动的脉搏
肌少症与中国中老年人髋部骨折风险增加显著相关:基于CHARLS数据的纵向研究
【字体: 大 中 小 】 时间:2025年07月10日 来源:Scientific Reports 3.8
编辑推荐:
本研究针对中国老龄化背景下肌少症(sarcopenia)与髋部骨折(hip fracture)双重负担加剧的公共卫生问题,通过分析CHARLS队列7775名≥45岁参与者的9年随访数据,首次证实肌少症是髋部骨折的独立危险因素(OR=1.33)。采用单标准诊断法评估肌少症状态,通过竞争风险模型校正混杂因素,发现肌少症组骨折发生率显著高于非肌少症组(7.17% vs 3.75%),且风险差异随时间扩大。该研究为亚洲人群肌少症-骨折关联提供了高质量证据,对制定早期干预策略具有重要临床意义。
随着全球老龄化进程加速,肌少症(sarcopenia)和髋部骨折已成为威胁老年人健康的双重挑战。中国作为世界上老年人口最多的国家,肌少症患病率高达20.7%,远超邻国日本(9.9%);而髋部骨折年发病率持续攀升,相关30天死亡率达5-10%。更令人担忧的是,肌肉与骨骼系统存在复杂的"肌骨对话"(muscle-bone crosstalk),但关于肌少症与骨折风险的纵向证据在亚洲人群中仍存空白。福建医科大学附属泉州第一医院骨科与泉州医学高等专科学校的研究团队,在《Scientific Reports》发表了一项填补该领域空白的重要研究。
研究人员利用中国健康与养老追踪调查(CHARLS)2011-2020年数据,对7775名≥45岁参与者进行9年随访。采用单标准诊断法评估肌少症(握力<28/18kg、身高校正四肢骨骼肌质量指数(ASM)<6.88/5.69 kg/m2或5次起坐时间>12秒),通过面对面访谈记录髋部骨折事件。运用竞争风险分析和多因素logistic回归模型,在调整人口学特征、生活方式和慢性病等混杂因素后,系统评估二者的纵向关联。
基线特征分析
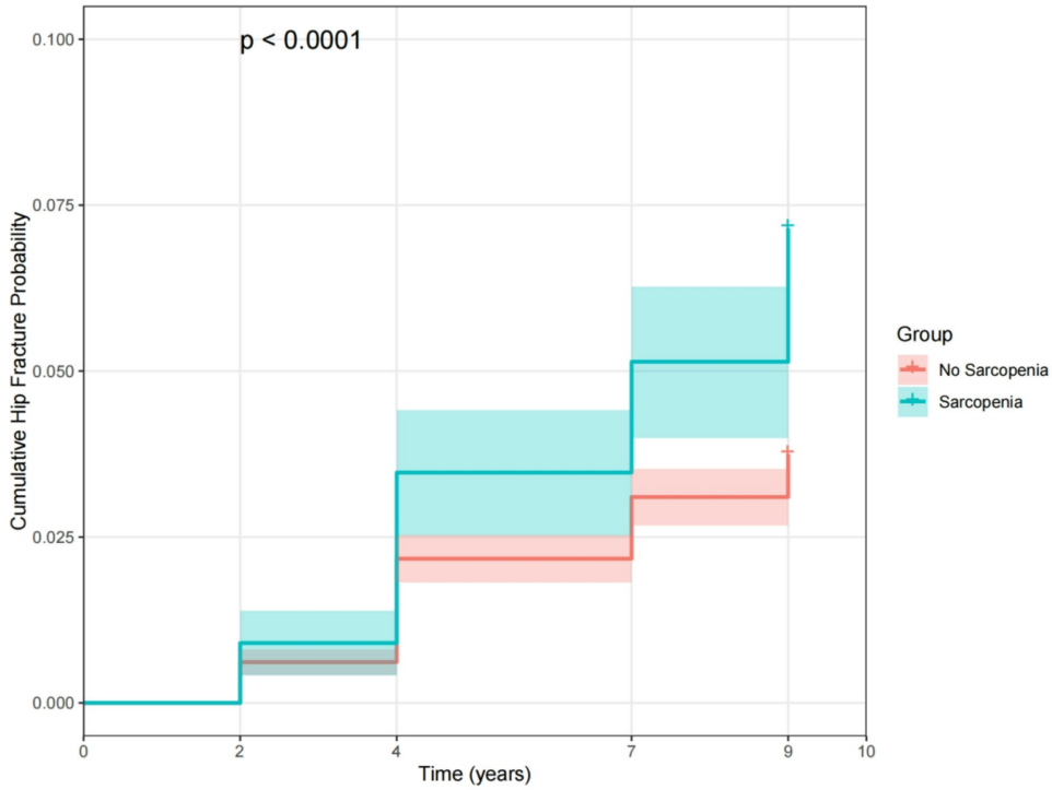
肌少症组(n=1436)年龄更大(65.54±7.74岁)、男性占比高(76.18%),BMI以低体重(24.93%)和正常范围(72.42%)为主。与非肌少症组相比,该组教育程度更低(96.94%仅完成初中以下教育)、农村居民更多(75.97%),但吸烟(26.67%)、饮酒(27.23%)及慢性病患病率显著较低。值得注意的是,肌少症组随访期间髋部骨折发生率是对照组的近两倍(7.17% vs 3.75%)。
时间累积风险差异

多因素回归结果
在完全校正模型中,肌少症仍保持独立关联性(OR=1.33,95%CI:1.00-1.77)。计算得出需干预29.24例肌少症患者才会新增1例髋部骨折(NNH=29.24),这一量化指标为临床决策提供了重要参考。
该研究通过IGF-1/mTOR通路机制解释了"骨肌减少症"(osteosarcopenia)的生物学基础——肌肉分泌的肌因子(myokines)可调控骨代谢,而肌量下降40-60%将显著增加骨折风险。尽管存在未测量混杂因素、单标准诊断法可能高估患病率等局限,但作为首个针对中国人群的大样本纵向研究,其发现具有重要价值:建议将肌少症筛查纳入老年常规体检,对高风险个体实施抗阻训练和蛋白质补充(每日1.2-1.5g/kg)的联合干预。未来研究可探索分子标志物如血清GDF-15与CTX-1的水平变化,为精准预防提供新靶点。
生物通微信公众号
知名企业招聘