
-
生物通官微
陪你抓住生命科技
跳动的脉搏
亲密关系与沟通媒介的神经行为耦合:面对面与视频交流中脑间同步的频率特异性调节
【字体: 大 中 小 】 时间:2025年07月11日 来源:Social Cognitive and Affective Neuroscience 3.9
编辑推荐:
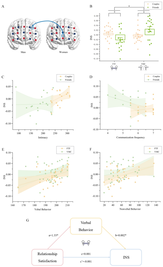
本研究针对数字时代人际交流的神经机制,通过功能性近红外光谱超扫描技术(fNIRS hyperscanning)探索了不同亲密关系(情侣vs朋友)在面对面(FTF)和视频介导沟通(VMC)中的神经行为耦合差异。研究发现亲密关系类型与沟通媒介存在交互作用:情侣在FTF中表现出更强的0.081-0.09Hz高频前额叶脑间同步(INS)和行为协调,而朋友在VMC中该频段同步更显著;低频段(0.038-0.046Hz)则呈现相反模式。研究首次揭示了神经同步的频率特异性调节机制,为数字时代的亲密关系维护提供了神经科学依据。
在数字化浪潮席卷全球的今天,视频会议软件已成为人际沟通的重要载体,但冰冷的屏幕是否会削弱我们与亲密之人的情感联结?这个问题的答案隐藏在人类大脑神秘的同步机制中。既往研究表明,面对面交流时,人们会无意识地通过眼神、手势和语调实现神经振荡的耦合,这种被称为人际神经同步(Interpersonal Neural Synchrony, INS)的现象被认为是情感共鸣的生物学标志。然而,当交流被限制在二维屏幕上时,这种微妙的神经舞蹈将如何变化?更重要的是,不同亲密程度的伴侣是否会表现出差异化的适应策略?
天津师范大学心理学部行为与心理科学教育部重点实验室的研究团队在《Social Cognitive and Affective Neuroscience》发表的研究给出了突破性答案。该研究采用双人同步脑成像技术(hyperscanning),对36对情侣和36对朋友在FTF和VMC两种模式下的前额叶皮层(PFC)及颞顶联合区(TPJ)活动进行监测,结合精细的行为编码和Granger因果分析,首次揭示了亲密关系与沟通媒介的神经耦合存在"频率分流"现象。
研究主要运用三项关键技术:(1)功能性近红外光谱(fNIRS)超扫描系统,以37Hz采样率同步记录双人大脑血流动力学信号;(2)基于小波相干性(Wavelet Coherence)的脑间同步分析,重点检测0.01-0.3Hz频段;(3)联合按键任务与自然对话的行为编码系统,量化言语/非言语协调性。所有参与者均完成标准化关系评估量表(包括Sternberg爱情三角量表)以确保分组效度。
行为协调结果
通过对比对话前后联合按键任务的准确率变化发现:情侣在FTF中行为协调提升最显著(准确率差异0.197±0.166),且与亲密度(r=0.53)、关系满意度(r=0.41)呈正相关;朋友则在VMC中表现更佳。这种"亲密度-媒介"交互效应(F(1,34)=8.88, p=0.005)印证了沟通媒介对行为协调的影响取决于关系类型。
言语/非言语行为模式

高频段神经同步(0.081-0.09Hz)

低频段神经同步(0.038-0.046Hz)

这项研究构建了"关系-情境"神经模型,其核心发现在于:亲密关系并非简单增强或减弱神经耦合,而是重新配置了频率资源分配策略。对于依赖体感调谐的情侣,FTF能激活其高频神经同步(0.08-0.09Hz),这对应于实时社交线索整合;当被迫使用VMC时,他们转而加强低频段(0.04Hz)的持续关系监测。朋友则因更依赖言语支架,在VMC中反而能优化高频同步效率。这种动态重组不仅解释了既往关于数字沟通效果的矛盾发现,更为设计"关系适配型"通讯平台提供了生物标记——例如为亲密伴侣增加触觉反馈通道,而为任务型团队优化语音清晰度。
研究的创新性体现在三方面:(1)首次揭示INS的频率特异性是理解数字沟通效果的关键;(2)验证言语行为在关系满意度与神经同步间的完全中介效应;(3)发现女性前额叶在FTF中的神经主导作用,这为性别差异的社会认知研究开辟新视角。未来研究可拓展至跨文化比较和更丰富的通讯技术场景,这些发现或将重塑后疫情时代的人类联结方式。
生物通微信公众号
知名企业招聘